गरीबी तथा असमानता

शहरी अपवर्जन (बहिष्करण): कोविड-19 के मद्देनजर भारत में सामाजिक सुरक्षा पर पुनर्विचार करना

  • Blog Post Date 07 जुलाई, 2022
  • लेख
  • Print Page
Author Image

Sonalde Desai

University of Maryland

sdesai@socy.umd.edu

Author Image

Santanu Pramanik

Centre for Effective Governance of Indian States

santanu@cegis.org

कोविड-19 के शुरुआती दिनों में लॉकडाउन के कारण हुई आर्थिक असुरक्षा के चलते कई परिवार अपनी उपभोग जरूरतों को पूरा करने के लिए सरकारी कल्याणकारी योजनाओं पर निर्भर रहने के लिए मजबूर हुए। यह लेख दिल्ली एनसीआर कोरोना वायरस टेलीफोन सर्वेक्षण के जून 2020 के दौर के डेटा का उपयोग करते हुए, दर्शाता है कि विशेष रूप से शहरी क्षेत्रों में कुछ परिवारों को ही खाद्यान्न और नकद अंतरण- दोनों प्राप्त हुए, और शहरी निवासियों की उनके ग्रामीण समकक्षों की तुलना में नकद अंतरण प्राप्त करने की संभावना भी आठ प्रतिशत कम थी।

भारत में कोविड-19 संक्रमण के मामले अत्यधिक बढ़ने के कारण देश 25 मार्च 2020 को एक देशव्यापी लॉकडाउन में घिर गया, और एक मानवीय संकट की आशंका बढ़ गई, जिसके परिणामस्वरूप आजीविका के झटके से जूझ रहे परिवारों को संघर्ष करना पड़ा। नेशनल काउंसिल ऑफ एप्लाइड इकोनॉमिक रिसर्च (एनसीएईआर) द्वारा अप्रैल और मई 2020 की अवधि हेतु रिकॉल किये गए एक रैपिड एक्सेस टेलीफोन सर्वेक्षण के परिणामों में- विशेष रूप से अनौपचारिक रोजगार से जुड़े परिवारों और बहुत कम वैकल्पिक स्रोतों से आय या सामाजिक सुरक्षा जाल पर निर्भर परिवारों द्वारा सामना की गई जबरदस्त अनिश्चितता को दर्ज किया गया।

शहरी और ग्रामीण क्षेत्रों में महामारी की व्यापकता भिन्न-भिन्न थी,जैसा कि उसमें आवागमन पर प्रतिबंध था,और इसलिए,निवास स्थान और व्यवसाय ने परिवारों पर लॉकडाउन के प्रभाव को नियंत्रित किया। किसानों को अपने व्यापार में शामिल होना आसान लगा क्योंकि उनका काम आम तौर पर उनके इलाकों तक ही सीमित था। इसके परिणामस्वरूप, 36% किसानों ने अपनी आय पर गंभीर आघात का अनुभव किया, जबकि असंगठित क्षेत्र1 के 54% वेतनभोगी श्रमिकों, 71% आकस्मिक वेतन श्रमिकों, 69% स्वरोजगार वाले व्यक्तियों और 71% व्यवसायियों ने अपनी आय पर गंभीर आघात का अनुभव किया। इसके अलावा,शहरी आकस्मिक वेतन श्रमिकों द्वारा अपने ग्रामीण समकक्षों की तुलना में आय के झटके का सामना करने की संभावना नौ प्रतिशत अंक अधिक थी।

आने वाले संकट को देखते हुए,केंद्र सरकार ने तत्काल राहत प्रदान करने के उद्देश्य से नकद और वस्तुगत लाभों के प्रावधान को बढ़ा दिया। ये थे: i)सार्वजनिक वितरण प्रणाली (पीडीएस) के तहत अतिरिक्त मुफ्त खाद्यान्न और ii) पहले से मौजूद कल्याणकारी योजनाओं की एक श्रृंखला से जुड़े लाभार्थियों के बैंक खातों में नकद अंतरण। हमारे अध्ययन(चौधुरी एवं अन्य 2022) में, हम दिल्ली एनसीआर कोरोना वायरस टेलीफोन सर्वेक्षण (डीसीवीटीएस, राउंड 3)2 के डेटा का उपयोग करते हैं, जो 15 से 23 जून 2020 के बीच आयोजित किया गया 3,466 परिवारों का एक त्वरित टेलीफोन सर्वेक्षण है, ताकि विभिन्न व्यावसायिक समूहों में सामाजिक कल्याण की पहुंच की प्रभावशीलता और ये ग्रामीण और शहरी क्षेत्रों में कैसे भिन्न हैं, इसकी जांच की जा सके। विशेष रूप से,हम देखते हैं कि इस कठिन दौर का सामना करते हुए सामाजिक सुरक्षा लाभों तक कम पहुंच रखने वाले अनौपचारिक श्रमिक आम तौर पर आय की एक नियमित धारा के अंतर्गत आने में कैसे असमर्थ हैं।

ग्रामीण और शहरी क्षेत्रों में कल्याणकारी सहायता में असमानता

हमने पाया कि चूंकि सुरक्षा जाल तक पहुंच पहले से मौजूद रजिस्ट्रियों पर निर्भर थी, इसलिए लॉकडाउन से सबसे अधिक प्रभावित कुछ परिवार इस लाभ से बाहर हो गए। इसके अलावा, आर्थिक संकट के अनुभव में ग्रामीण-शहरी भिन्नता सामाजिक सुरक्षा जाल तक पहुंच में परिलक्षित नहीं होती है। कुछ परिवारों को खाद्यान्न प्राप्त हुआ, अन्य को नकद अंतरण प्राप्त हुआ, लेकिन विशेष रूप से शहरी क्षेत्रों में,बहुत कम लोगों को दोनों लाभ प्राप्त हुए(चित्र 1 देखें)। हम यह भी पाते हैं कि शहरी निवासियों की नकद अंतरण प्राप्त करने की अनुमानित संभावना उनके ग्रामीण समकक्षों की तुलना में आठ प्रतिशत कम थी।

चित्र 1. कल्याणकारी सहायता की प्राप्ति में ग्रामीण-शहरी विभाजन

नोट: काली मानक त्रुटि पट्टियाँ 95% विश्वास अंतरालों को इंगित करती हैं। 95% विश्वास अंतराल का अर्थ है कि यदि आप नए नमूनों के साथ प्रयोग को बार-बार दोहराते हैं, तो 95% समय परिकलित विश्वास अंतराल में प्रभाव सही होगा।

खाद्य सहायता

हमारे निष्कर्ष दर्शाते हैं भोजन की अनियत अनुपलब्धता से पीड़ित परिवारों में से 23.7% परिवार सामयिक मजदूरी के काम रिपोर्ट करते हैं, 18% वेतनभोगी काम की रिपोर्ट करते हैं, और 15.7% छोटे व्यवसायों वाले लोग हैं। इसमें आश्चर्य नहीं कि सामयिक वेतन और अनौपचारिक वेतनभोगी श्रमिकों वाले क्रमशः 67% और 50% परिवारों ने बताया कि उन्हें अपने दैनिक खर्चों और खपत का प्रबंधन करने के लिए उधार लेना पड़ा। बहरहाल, पीडीएस प्रणाली के माध्यम से किए गए भोजन वितरण के बिना यह अनुपात काफी अधिक होने की संभावना है।

कुल मिलाकर,हम देखते हैं कि अप्रैल और मई 2020 के बीच 57.7% परिवारों को खाद्य सहायता प्राप्त हुई, 15.23% परिवारों को कोई आवश्यकता नहीं थी और इसलिए उन्होंने खाद्य सहायता का लाभ नहीं उठाया, और 27% को खाद्यान्न की जरुरत पूरी न होने का सामना करना पड़ा। डीसीवीटीएस-3 के डेटा इंगित करते हैं कि खाद्यान्न प्राप्त न होना दस्तावेज़ीकरण की कमी से जुड़ा हुआ है - जिन परिवारों की खाद्यान्न की जरुरत पूरी नहीं हुई ऐसे 59.8% परिवारों के पास राशन कार्ड नहीं थे।

परिवारों द्वारा मुफ्त अतिरिक्त खाद्यान्न प्राप्त करने की संभावना और खाद्यान्न की जरुरत पूरी न होने की स्थिति का अनुमान लगाने के लिए, जिन परिवारों ने स्वेच्छा से पीडीएस प्राप्त नहीं करना चुना क्योंकि उन्हें इसकी आवश्यकता नहीं थी, की संदर्भ श्रेणी3 (अर्थात, अन्य श्रेणियों की तुलना के लिए एक श्रेणी) के रूप में हम एक बहुपद लॉजिस्टिक प्रतिगमन (रिग्रेशन)4 का अनुमान लगाते हैं। कुल मिलाकर,खाद्यान्न वितरण कार्यक्रम महामारी से सबसे अधिक प्रभावित लोगों- सामयिक वेतन भोगी कर्मचारी,असंगठित क्षेत्र के वेतनभोगी कर्मचारी और स्व-रोजगार की रिपोर्ट करने वाले परिवार की जरूरतों को पूरा करने में काफी हद तक सफल रहा।

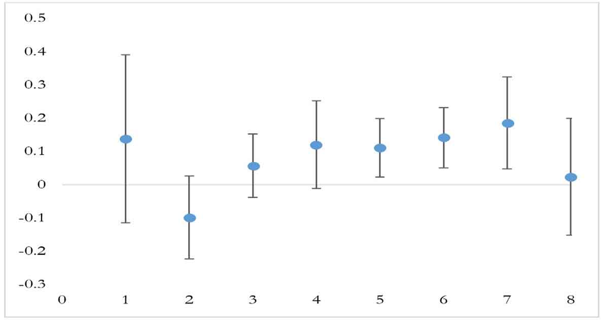
तथापि, हम यह भी पाते हैं कि खाद्यान्नों की जरुरत पूरी नहीं हो रही थी। जैसा कि चित्र 2 में देखा गया है,खाद्यान्नों की जरुरत पूरी न होने की अनुमानित संभावना आकस्मिक वेतन श्रमिकों के लिए 23%, असंगठित क्षेत्र के वेतनभोगी श्रमिकों के लिए 25.7% और स्व-रोजगार वाले व्यक्तियों के लिए 28% है। इसके अलावा शहरी परिवारों में आवश्यकता पूरी न होने की संभावना बढ़ जाती है-सामयिक वेतन श्रमिकों की रिपोर्ट करने वाले परिवारों के लिए अनुमानित संभावना 11 प्रतिशत अंक, स्व-रोजगार वाले व्यक्तियों के लिए 14 प्रतिशत अंक और श्रमिकों को काम पर रखने वाले छोटे व्यवसायों (घरेलू उद्यमों) के लिए 18 प्रतिशत अंक अधिक है। यह शहरी क्षेत्रों में अपवर्जन (बहिष्करण) होने की अधिक संभावना को दर्शाता है।

चित्र 2खाद्यान्न राशन की आवश्यकता पूरी न होने की अनुमानित संभावना में परिवर्तन में ग्रामीण-शहरी असमानताएं

टिप्पणियाँ:i) बाएं से दाएं के व्यावसायिक समूह कृषक,सरकारी/सार्वजनिक क्षेत्र के उपक्रम, वेतनभोगी (10 श्रमिकों से अधिक या बराबर),वेतनभोगी (10 से कम श्रमिक), सामयिक वेतन, व्यवसाय (जो शायद ही कभी/किराए पर नहीं लेते), व्यवसाय (किराये पर), और किराया/प्रेषण हैं। ii) चित्र ग्रामीण (0) से शहरी (1) में प्रायिकता में परिवर्तन दर्शाता है। iii) मानक त्रुटियों की गणना डेल्टा पद्धति का उपयोग करके की गई है। iv) हमारे अनुमान 95% विश्वास अंतराल का उपयोग करते हैं।

नकद सहायता

हम प्राप्त नकद राशि का अनुमान लगाते हैं, बशर्ते कि उन्होंने नकद सहायता5 प्राप्त कर ली हो। पूर्व रजिस्ट्रियों का उपयोग किये जाने के परिणामस्वरूप लाभार्थी के बैंक खातों में रिकॉर्ड समय में नकदी पहुंच गई, लेकिन परिणाम एक महत्वपूर्ण शहरी नुकसान की ओर भी इशारा करते हैं।

पहले चरण के प्रतिगमन (रिग्रेशन) परिणाम दर्शाते हैं कि संगठित क्षेत्र में वेतनभोगी काम की रिपोर्ट करने वाले परिवारों,या असंगठित क्षेत्र में वेतनभोगी श्रमिकों के रूप में, या श्रमिकों को काम पर रखने वाले व्यवसायों की रिपोर्टिंग करने वाले परिवारों को कृषकों की तुलना में नकद सहायता प्राप्त होने की संभावना कम है। यदि ऐसे परिवार शहरी क्षेत्रों में स्थित हैं, तो यह संभावना क्रमशः 10.6, 21.2 और 28.3 प्रतिशत अंक कम हो जाती है (चित्र 3, बायां पैनल देखें)। सहायता प्राप्ति पर सशर्त, अनौपचारिक वेतनभोगी कार्य की रिपोर्ट करने वाले शहरी परिवार को 696.5 प्रति माह रुपये के नकद समर्थन का औसत अनुमानित मूल्य (चित्र 3 देखें, दायां पैनल), या पांच सदस्यों के एक प्रतिनिधि परिवार को 23 रुपये प्रति दिन प्राप्त होने की संभावना है - जो शहरी क्षेत्र6 में प्रति व्यक्ति प्रति दिन 49 रुपये की आधिकारिक गरीबी रेखा से काफी नीचे है।

चित्र 3. नकद सहायता की अनुमानित संभावनाओं (बायाँ पैनल) और मूल्य (दायाँ पैनल) में ग्रामीण-शहरी असमानताएं

टिप्पणियाँ: i) बाएं से दाएं के व्यावसायिक समूह कृषक,सरकारी/सार्वजनिक क्षेत्र के उपक्रम, वेतनभोगी (10 श्रमिकों से अधिक या बराबर), वेतनभोगी (10 से कम श्रमिक), सामयिक वेतन, व्यवसाय (जो शायद ही कभी/किराए पर नहीं लेते), व्यवसाय (किराये पर),और किराया/प्रेषण हैं। ii) चित्र ग्रामीण (0) से शहरी (1) में प्रायिकता में परिवर्तन दर्शाता है। iii) मानक त्रुटियों की गणना डेल्टा पद्धति का उपयोग करके की गई है। iv) हमारे अनुमान 95% विश्वास अंतराल का उपयोग करते हैं। iv) दायां पैनल इस तरह के समर्थन की प्राप्ति पर सशर्त, नकद समर्थन के अनुमानित मूल्य के अनुमान दर्शाता है।

योजना-स्तर पर सहायता

कुछ प्रमुख कार्यक्रमों का योजना-स्तर पर विश्लेषण लक्ष्यीकरण में कमियों पर अधिक प्रकाश डालता है। सरकार ने प्रधान मंत्री जन धन योजना (पीएमजेडीवाई)7 खाते की महिला खाताधारकों को तीन समान मासिक भुगतानों में 500 रुपये के अंतरण की घोषणा की। हमारे निष्कर्ष दर्शाते हैं कि सभी नमूना परिवारों में से 23.3% ने ऐसे नकद अंतरण प्राप्त किए, ये नकद अंतरण गरीबी रेखा से नीचे (बीपीएल) और गैर-बीपीएल दोनों परिवारों में प्रचलित हैं। यह निष्कर्ष अन्य अध्ययनों के निष्कर्षों के अनुरूप भी है (पांडे एवं अन्य 2020, सोमांची 2020)।

पीएम किसान योजना8 के संदर्भ में, डीसीवीटीएस-3 नमूने में 18% किसान परिवारों में से केवल 21% को ऐसे नकद अंतरण प्राप्त हुए- इनमें से 42% परिवार नमूने के सबसे धनी संपत्ति9 के थे, और अन्य 28.5% मध्यम वर्ग के थे। साथ ही, पीएम किसान योजना भूमि-मालिकों पर लागू होती है,अतः इसमें कृषि श्रमिकों या किरायेदार किसानों को शामिल नहीं किया जाता है। हालांकि,सभी भूमि-मालिक किसानों को लाभ नहीं मिला।

निष्कर्ष

अपवर्जन (बहिष्करण) की व्यापकता भले ही मध्यम हो, इसमें लक्ष्यीकरण और चयनात्मकता पर चर्चा की आवश्यकता होती है। किसी योजना को गरीबों के लिए लक्षित करना अक्सर जटिल चयन मानदंड पर आधारित होता है,जो अपवर्जन (बहिष्करण) संबंधी त्रुटियों (झाबवाला और स्थायी 2010) से भरा हुआ होता है। ये त्रुटियां तब और बढ़ जाती हैं जब आर्थिक असुरक्षा अधिक व्यापक होती है,जो बड़े पैमाने पर झटके के कारण उत्पन्न होती है। सामाजिक रजिस्ट्रियां यह सुनिश्चित कर सकती हैं कि नकदी का तेजी से अंतरण हो,जबकि विशिष्ट अभावों के आधार पर रजिस्ट्रियां उन व्यक्तियों की पहचान नहीं कर सकती हैं जो संकट की स्थिति में सबसे कमजोर हैं।

भारतीय मानव विकास सर्वेक्षण(आईएचडीएस) के डेटा का उपयोग करके थोराट एवं अन्य द्वारा किये गए एक अध्ययन (2017) में इस बात के प्रमाण मिलते हैं कि परिवारों को गरीबी से बाहर निकालने वाले कारक उन कारकों से भिन्न हो सकते हैं जो लोगों को इसमें धकेलते हैं। यह आर्थिक झटके की स्थिति में कल्याणकारी लाभार्थियों को लक्षित करने में नीति-निर्माताओं के सामने एक चुनौती है,और ऐसे नाटकीय झटके से उत्पन्न संकट को कम करने हेतु राहत पैकेज तैयार करने के लिए उनके द्वारा एक अधिक सार्वभौमिक दृष्टिकोण अपनाया जाना अपेक्षित है।

जब बाहरी घटनाएं किसी क्षेत्र के सभी निवासियों को प्रभावित करती हैं, भौगोलिक क्षेत्रों में जो संकट से सबसे अधिक प्रभावित होते हैं, पर ध्यान केंद्रित करना, विशिष्ट विशेषताओं वाले व्यक्तियों को लक्षित करने की तुलना में अधिक प्रभावी हो सकता है। यह देखते हुए कि शहरी क्षेत्रों में महामारी का तत्काल प्रभाव अधिक तीव्रता से महसूस किया गया, लक्ष्यीकरण ढांचे तैयार करते समय ऐसे भौगोलिक अलगाव को ध्यान में रखने,और स्थानीय शासन के एक अधिक मजबूत संस्थागत ढांचे को स्थापित करने की आवश्यकता है जो शहरी क्षेत्रों में सामाजिक पंजीकरण बनाने में सहायता कर सके।

क्या आपको हमारे पोस्ट पसंद आते हैं? नए पोस्टों की सूचना तुरंत प्राप्त करने के लिए हमारे टेलीग्राम(@I4I_Hindi) चैनल से जुड़ें। इसके अलावा हमारे मासिक समाचार पत्र की सदस्यता प्राप्त करने के लिए दायीं ओर दिए गए फॉर्म को भरें।

टिप्पणियाँ:

  1. असंगठित क्षेत्र को व्यक्तिगत नियोक्ता और 10 से कम श्रमिकों वाली फर्मों के रूप में परिभाषित किया गया है।
  2. डीसीवीटीएस-3 पहले से मौजूद पैनल (डीसीवीटीएस, राउंड 1) और नमूना परिवारों के पड़ोसियों का एक संयोजन है, जो डीसीवीटीएस, राउंड 2 के लिए साक्षात्कार में एक ही लिस्टिंग फ्रेम से लिया गया है। डीसीवीटीएस-1 में परिवारों का पहले से मौजूद पैनल है, जिनका पहली बार 2019 की शुरुआत में प्रत्यक्ष साक्षात्कार लिया गया था (अधिक विवरण के लिए चौधरी एवं अन्य (2022) देखें)।
  3. हम उत्तरदाता की लैंगिक स्थिति (स्त्री/पुरुष) और शैक्षिक प्राप्ति, परिवार का आकार, और संपत्ति के तृतीयक रैंक, परिवार का स्थान (ग्रामीण या शहरी क्षेत्र), और हमारे प्रतिगमन (रिग्रेशन) में निवास की स्थिति को नियंत्रित करते हैं।
  4. बहुपद लॉजिस्टिक प्रतिगमन (रिग्रेशन) का उपयोग दो से अधिक श्रेणियों के साथ एक श्रेणीबद्ध आश्रित चर का अनुमान लगाने के लिए किया गया है।
  5. ऐसा करने के लिए हम हेकमैन-प्रकार के चयन मॉडल का उपयोग करते हैं। परिणाम और भागीदारी समीकरण संयुक्त रूप से अधिकतम संभावना पद्धति के आधार पर अनुमानित हैं। नकद सहायता प्राप्त करने की परिवार की संभावना का अनुमान लगाते हुए, स्विचिंग रिग्रेशन को एक ऐसे साधन द्वारा पहचाना जाता है जो विभिन्न पूर्व-मौजूदा सरकारी कल्याण योजनाओं में परिवार की भागीदारी की प्राथमिक नमूना इकाई (पीएसयू) घटनाओं का पता लगाता है (चौधुरी एवं अन्य 2022 का परिशिष्ट देखें)। उपयोग किए गए स्वतंत्र चर खाद्य सहायता के चर के समान हैं।
  6. हम इसे 2020 की कीमतों पर समायोजित ‘तेंदुलकर गरीबी रेखा’ द्वारा परिभाषित (अपेक्षाकृत कम) सीमा का उपयोग करके मूल्य के रूप में परिभाषित करते हैं।
  7. प्रधानमंत्री जन धन योजना (पीएमजेडीवाई) भारत सरकार की प्रमुख वित्तीय समावेशन योजना है। इसमें प्रत्येक परिवार के लिए कम से कम एक बुनियादी बैंकिंग खाते के साथ बैंकिंग सुविधाओं तक सार्वभौमिक पहुंच,वित्तीय साक्षरता, ऋण बीमा तक पहुंच और पेंशन सुविधा की परिकल्पना की गई है।
  8. पीएम किसान केंद्र सरकार की एक योजना है जिसके तहत सभी भूमिधारक किसान परिवारों को प्रति वर्ष 6,000 रुपये की आय सहायता तीन समान किश्तों में दी जाती है।
  9. यदि विभिन्न परिवारों की संपत्ति को आरोही क्रम में सूचीबद्ध किया जाता है, तो निचला तृतीयक परिवारों को उनकी संपत्ति के संदर्भ में नीचे से तीसरे के रूप में संदर्भित करेगा।

लेखक परिचय: पल्लवी चौधरी नेशनल डेटा इनोवेशन सेंटर (NDIC), नेशनल काउंसिल ऑफ एप्लाइड इकोनॉमिक रिसर्च (एनसीएईआर)में सीनियर फेलो हैं। सोनल्डे देसाई मैरीलैंड विश्वविद्यालय में समाजशास्त्र की प्रोफेसर हैं और नेशनल काउंसिल ऑफ एप्लाइड इकोनॉमिक रिसर्च (एनसीएईआर), नई दिल्ली में एक वरिष्ठ फेलो के रूप में संयुक्त नियुक्ति के साथ हैं| शांतनु प्रमाणिक नेशनल काउंसिल ऑफ एप्लाइड इकोनॉमिक रिसर्च (एनसीएईआर) में सीनियर फेलो और नेशनल डेटा इनोवेशन सेंटर के डिप्टी डायरेक्टर हैं।

No comments yet
Join the conversation
Captcha Captcha Reload

Comments will be held for moderation. Your contact information will not be made public.

संबंधित विषयवस्तु

समाचार पत्र के लिये पंजीकरण करें