सामाजिक पहचान

राजनीतिक आरक्षण के वितरणात्मक परिणाम

  • Blog Post Date 25 जनवरी, 2024
  • लेख
  • Print Page
Author Image

Chinmaya Kumar

Azim Premji University

hichinmaya@gmail.com

Author Image

M.R. Sharan

University of Maryland

sharanidli@gmail.com

सन 2011 से 25 जनवरी को भारत में राष्ट्रीय मतदाता दिवस के रूप में मनाया जाता है ताकि 18 वर्ष की आयु पूरी करने वाले सभी मतदातों को मतदान के महत्त्व के बारे में जागरूक बनाया जाए। मतदान में हमेशा अनुसूचित जातियों, जनजातियों और अन्य पिछड़े वर्गों का महत्त्व रहा है। इसी पृष्ठभूमि में प्रस्तुत आज के इस शोध आलेख में पंचायतों में अनुसूचितजाति (एससी) के लिए आरक्षण के प्रभावों को समझने में कमियों की पहचान की गई है और उन्हें भरने का प्रयास किया गया है। राज्य-व्यापी जनगणना के डेटा, कई अन्य प्रशासनिक डेटासेट और बिहार के प्राथमिक सर्वेक्षण डेटा का उपयोग करते हुए, यह पाया गया कि आरक्षणअनुसूचित जाति और अन्य के बीच की संपत्ति असमानता को कम करता है। यह शोध सार्वजनिक सुविधाओं का अधिक लक्ष्यीकरण, कल्याण कार्यक्रमों तक पहुँच और बेहतर राजनीतिक भागीदारी जैसे उन कारणों की जाँच करता है, जिनके माध्यम से ऐसा होता है। इस सन्दर्भ में, यह शोध यह भी दर्शाता है कि आरक्षण तब सबसे कारगर तब होता है, जब एससी श्रेणी के भीतर उपजातियाँ कम होती हैं और पंचायत में उनकी आबादी न तो बहुत छोटी होती है और न ही बहुत बड़ी।

दुनिया भर के देशों ने अन्तर-समूह असमानताओं को कम करने के लिए कई सकारात्मक कार्रवाई  (आरक्षण) नीतियाँ लागू की हैं। उदाहरण के लिए, भारत के सन्दर्भ में, राजनीतिक आरक्षण नीतियों का उद्देश्य ऐतिहासिक रूप से वंचित अल्पसंख्यक समूहों को सरकारी पदों पर पर्याप्त प्रतिनिधित्व प्रदान करना है। इसमें अंतर्निहित धारणा यह है कि इस प्रतिनिधित्व से सामाजिक और आर्थिक सशक्तिकरण होगा और परिणामस्वरूप, समग्र असमानता कम होगी।

हालाँकि कई अध्ययनों में अल्पसंख्यक समूहों (पांडे 2003, दुफ्लो 2005) के पक्ष में आरक्षण के प्रभावों को दर्ज करने का प्रयास किया गया है, फिर भी शोध-साहित्य में कुछ कमियाँ बनी हुई हैं। हम शोध साहित्य में चार व्यापक कमियों की पहचान करते हैं। सबसे पहली, धन और संपत्ति के संचय संबंधी प्रभावों के बारे में है जिसके बारे में अधिक कुछ ज्ञात नहीं है। दूसरी है विभिन्न जातियों या उप-जातियों पर आरक्षण के प्रभाव का महत्वपूर्ण प्रश्न, जिस पर अभी भी अध्ययन नहीं किया गया है। तीसरी है आरक्षण के अल्पावधि और दीर्घावधि में प्रभाव के बारे में, विशेषरूप से स्थानीय स्तर पर किस हद तक ये भिन्न होते हैं, इस में भी अभी शोध की काफी कमी1 है। अंततः चौथी महत्वपूर्ण कमी है अल्पसंख्यक समूह के आकार व विविधता और आरक्षण के प्रभाव के बीच का सम्बन्ध।

बिहार में किए गए एक स्वाभाविक प्रयोग का उपयोग करना

इन कमियों के सन्दर्भ में सवालों के समाधान के लिए, हम बिहार में किए गए एक स्वाभाविक प्रयोग का लाभ उठाते हैं, जहाँ ग्राम पंचायत (जीपी) के प्रमुख पदों के लिए अनुसूचित जाति (एससी) के लिए आरक्षण शुरू किया गया था। बिहार पंचायती राज अधिनियम 2006 के अनुसार,राज्य भर में लगभग 17% ग्राम पंचायतों के प्रमुख पद अनुसूचित जाति के लिए आरक्षित थे। ग्राम पंचायतों को उनकी एससी आबादी के आधार पर आरक्षण के कार्यान्वयनके लिए चुना जाता है- प्रत्येक ब्लॉक (लगभग 15 जीपी) में, एक निश्चित सीमा से ऊपर एससी आबादी वाले ग्राम पंचायतों में लगभग निश्चित रूप से एससी के लिए पद आरक्षित होते हैं। आरक्षण की सीमा से बहुत कम अन्तर से छूट गए गाँवों की तुलना कर के, इसके ठीक ऊपर के गाँवों के साथ, हम अनुसूचित जाति और गैर-अनुसूचित जाति, इन व्यापक समूहों के भीतर विभिन्न जातियों और दोनों पर जाति-आधारित आरक्षण के प्रभाव को मापने के लिए एक ‘फज़ी रिग्रेशन डिज़ाइन’ का उपयोग कर के परिवारों तथा गाँवों में वितरण संबंधी प्रभावों का पता लगाते हैं।

परिणाम

बिहार में 10 साल की अवधि चक्र के लिए आरक्षण लागू हुआ था। वर्ष 2006 में जो ग्राम पंचायत अनुसूचित जाति के लिए आरक्षित थी, वह वर्ष 2011 के चुनावों में भी इसी तरह आरक्षित रहेगी, जबकि वर्ष 2016 के चुनावों में इसकी स्थिति बदल जाएगी। हम लम्बे समय में हुए प्रभावों को मापने के लिए, वर्ष 2006 -2019 तक के डेटा स्रोतों की एक बड़ी श्रृंखला का उपयोग करते हैं, जिसमें सामाजिक-आर्थिक जाति जनगणना (एसईसीसी) से 1 करोड़ 90 लाख से अधिक परिवारों की निजी संपत्ति डेटा और 8,748 परिवारों का प्राथमिक सर्वेक्षण शामिल है।

हमारे परिणामों से पता चलता है कि एससी आरक्षण एससी और गैर-एससी के बीच की निजी संपत्ति असमानता को कम करता है। यह अल्पावधि में मामूली प्रभाव डालता है, पर लम्बे समय में महत्वपूर्ण प्रभाव डालता है (आकृति-1 देखें)। यह कमी आंशिक रूप से औसत एससी परिसंपत्ति स्कोर में वृद्धि और गैर-एससी परिसंपत्ति स्कोर में कमी से प्रेरित है। हमें इक्विटी-दक्षता ट्रेडऑफ़ का कोई सबूत नहीं मिला। यानी ग्राम पंचायत में सभी परिवारों के औसत संपत्ति स्वामित्व पर आरक्षण का कोई प्रभाव नहीं पड़ा है। चूंकि अनुसूचित जाति के लीडर सभी परिवारों की औसत संपत्ति को कम किए बिना अल्पसंख्यक परिवारों की मदद करते हैं, तो इक्विटी में सुधार अकुशल प्रशासन की कीमत पर नहीं होता।

आकृति-1. अनुसूचित जाति के सन्दर्भ में आरक्षण का वितरणात्मक प्रभाव 

टिप्पणियाँ: i) यह आँकड़ा मानक विचलन के सन्दर्भ में विभिन्न उप-आबादी में परिसंपत्ति स्कोर पर प्रभाव दर्शाता है। ii) नीले डायमंड मार्कर पूर्ण स्कोर से संबंधित हैं। iii) लाल वर्ग के मार्कर माध्य गैर-एससी क्विंटाईल के साथ मेल को दर्शाते हैं। प्रत्येक मार्कर एक अलग एससी चतुर्थक को दर्शाता है- उदाहरण के लिए, "क्यू1 एससी" निचले चतुर्थक में औसत एससी और मध्य चतुर्थक में औसत गैर-एससी के बीच के अन्तर को इंगित करता है। iv) हरे गोलाकार मार्कर माध्य गैर-एससी क्विंटाईल के साथ मेल को दर्शाते हैं। हालाँकि, आरक्षित समूह में, हम केवल ग्राम प्रधान से जुड़े व्यक्तियों पर ध्यान केन्द्रित करते हैं- "प्रधान पड़ोस + उपनाम" में प्रधान से 20-परिवार की दूरी के भीतर के सभी लोग शामिल होते हैं जो प्रधान का उपनाम भी साझा करते हैं, जबकि "प्रधान" में केवल प्रधान का परिवार शामिल होता है। v) पीले मार्कर हमारे प्राथमिक सर्वेक्षण से एससी पर दीर्घकालिक प्रभावों का संकेत देते हैं। vi) 90% कॉन्फिडेंस इंटरवल शामिल हैं।

अल्पावधि में, एससी समूह में आरक्षण के विभिन्न प्रभाव होते हैं, आरक्षित क्षेत्रों में संपत्ति वितरण का तीसरा और चौथा चतुर्थांश (सांख्यिकीय रूप से) अनारक्षित क्षेत्रों के उनके समकक्षों की तुलना में काफी बेहतर होता है। यह एससी समूह के बीच असमानता में मामूली वृद्धि का संकेत देता है। हालाँकि, संख्यात्मक रूप से अनुसूचित जाति के बीच प्रभावशाली उपजाति को, औसत अनुसूचित जाति परिवार से अधिक लाभ नहीं मिलता है और महादलित, जो सबसे कमजोर अनुसूचित जाति उपजाति है, आरक्षण से भिन्न रूप से प्रभावित नहीं होती है।

तो फिर फायदा किसे होता है? अभिजात वर्ग पर कब्ज़ा (बरधन और मुखर्जी 2000, बेस्ली एवं अन्य  2012) से संबंधित साहित्य के अनुरूप, हम यह भी दर्शाते हैं कि जो लोग निर्वाचित ग्राम प्रधान के करीब होते हैं, या तो एक ही ‘उपनाम’ साझा करने या निकटता में रहने के कारण, उन्हें अधिक लाभ मिलता है। हमने यह भी पाया कि संपत्ति संचय पर आरक्षण का वास्तविक लाभ लम्बे समय में अनुसूचित जाति को मिलता है। आरक्षण सीमा के आसपास से लिए गए ग्राम पंचायतों के हमारे प्राथमिक सर्वेक्षण से पता चलता है कि एससी काफी हद तक गैर-एससी के बराबर हैं। महत्वपूर्ण रूप से, ये परिणाम आरक्षण चक्र बदलने के बाद देखे गए हैं।

वे तंत्र जिनके माध्यम से आरक्षण का वितरणात्मक प्रभाव पड़ता है

आरक्षण अनुसूचित जाति की संपत्ति के स्वामित्व को कैसेप्रभावित कर सकता है? अल्पावधि में, मुख्य रूप से अधिक प्रतिनिधित्व के परिणामस्वरूप बेहतर-लक्षित कल्याण योजनाओं के माध्यम सेप्रभावित होने की सम्भावना है। लेकिन लम्बे समय में, आरक्षण कुछ अतिरिक्त चैनलों के माध्यम से धन संचय को प्रभावित कर सकता है। सबसे पहला, गाँव-स्तरीय सार्वजनिक सुविधाओं तक बेहतर पहुँच के चलते एससी की संपत्ति का स्वामित्व बदल सकता है। दूसरा, यदि आरक्षण की अवधि के दौरान प्राप्त धन लाभ से गरीब अनुसूचित जाति के लोग गरीबी के जाल से बाहर निकलते हैं, तो परिवारों को धनसंचय की राह में आगे बढाया जा सकता है। यदि आरक्षण से अनुसूचित जाति की अधिक राजनीतिक भागीदारी और सशक्तिकरण होता है तो भौतिक लाभ भी लम्बे समय तक बरकरार रखा जा सकता है।

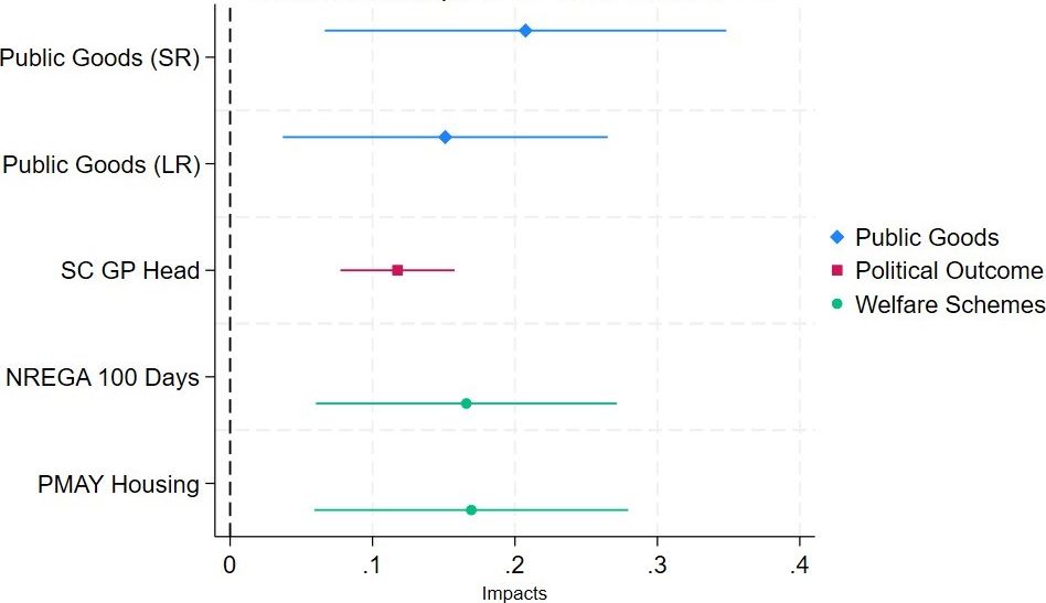
हम इन तंत्रों की जाँच करते हैं और अपने परिणामों को आकृति-2 में संक्षेप में प्रस्तुत करते हैं। हम आरक्षित ग्राम पंचायतों में अनुसूचित जाति परिवारों के लिए कल्याण कार्यक्रमों का अधिक लक्ष्यीकरण पाते हैं। राष्ट्रीय ग्रामीण रोजगार गारंटी अधिनियम (नरेगा) के तहत काम और प्रधानमंत्री आवास योजना के तहत मकान पाने वाले अनुसूचित जाति के परिवारों की हिस्सेदारी में भी सुधार हुआ है।

आकृति-2. अनुसूचित जाति के लिए आरक्षण के सामाजिक और राजनीतिक प्रभाव 

 

टिपण्णी: मापे गए पाँच परिणाम हैं : (i) अल्पावधि में सार्वजनिक सुविधाओं पर मानकीकृत प्रभाव (जनगणना, 2011), (ii) वर्ष 2016-2018 से गाँव की गलियों और नालियों की परियोजनाओं पर प्रशासनिक डेटा में मानकीकृत दीर्घकालिक प्रभाव (पंचायती राज विभाग के स्रोत से)), (iii) एससी के ग्राम पंचायत प्रमुख बनने की सम्भावना पर प्रभाव (वर्ष 2016 के जीपी चुनावों में), (iv) वर्ष 2016-2019 तक प्रति एससी व्यक्ति के लिए बनाए गए पीएमएवाई घर) और (v) नरेगा योजना के तहत 100 दिन का काम मिलने वाले एससी परिवारों का सामान्यीकृत हिस्सा (2014-2015)

चूंकि अल्पावधि में निजी संपत्तियों पर आरक्षण का प्रभाव अपेक्षाकृत कम होता है, इसलिए गरीबी के जाल से बाहर निकलने से दीर्घावधि में पर्याप्त लाभ मिलने की सम्भावना नहीं है। फिर भी बेस्ली एवं अन्य (2004) के अनुरूप, हम पाते हैं कि प्रमुख सार्वजनिक सुविधाओं को एससी बस्तियों के लिए बेहतर लक्षित किया गया है। हम अपना ध्यान चार मुख्य सार्वजनिक सुविधाओं पर केन्द्रित करते हैं- सरकारी प्राथमिक विद्यालय, सड़कें, आँगनवाड़ी केन्द्र और राशन की दुकानें। इन सार्वजनिक सुविधाओं तक पहुँच के साथ जनसंख्या का सामान्यीकृत हिस्सा आरक्षित ग्राम पंचायत में 0.2 एसडी बढ़ जाता है। दिलचस्प बात यह है कि यहाँ भी, हमें कोई इक्विटी-दक्षता ट्रेडऑफ़ नहीं मिला- ग्राम पंचायत में सार्वजनिक सुविधाओं की औसत मात्रा आरक्षण से अप्रभावित है।

हमें राजनीतिक भागीदारी चैनल के पक्ष में भी मज़बूत सबूत मिलते हैं- पहले के वर्षों में दिया गया आरक्षण अनुसूचित जाति को बाद के चुनावों में आरक्षण के अभाव में भी ग्राम पंचायत चुनाव जीतने का अधिकार देता है। पूर्व में आरक्षित स्थानों में समान, लेकिन कभी आरक्षित न होने वाली ग्राम पंचायत की तुलना में एससी ग्राम पंचायत की हिस्सेदारी में पाँच गुना वृद्धि देखी गई है। हम निचले स्तर के वार्ड चुनावों में चुनाव लड़ने और जीतने की उनकी क्षमता, दोनों में अनुसूचित जाति की अधिक भागीदारी पाते हैं। ये सभी परिणाम उन ग्राम पंचायतों में अनुसूचित जाति के बीच एक नए राजनीतिक वर्ग के उद्भव की ओर इशारा करते हैं, जिनमें दस साल की अवधि के लिए आरक्षण की व्यवस्था है।

आकार और भिन्नता के आधार पर विविधता

हम इस बात पर गौर करते हैं कि एससी आबादी के आकार और विविधता के आधार पर आरक्षण का प्रभाव कैसे भिन्न होता है। हम पाते हैं कि आरक्षण तब सबसे कारगर होता है जब निर्वाचन क्षेत्रों में अनुसूचित जाति की संख्या न तो बहुत छोटी होती है और न ही बहुत बड़ी हो होती है। जब एससी बहुत कम होते हैं, तो आरक्षण अल्पावधि में भौतिक लाभ और सार्वजनिक सुविधाओं तक पहुँच प्रदान करता है, लेकिन दीर्घकालिक राजनीतिक शक्ति प्रदान नहीं कर सकता है, जो कि लाभ को बनाए रखने के लिए महत्वपूर्ण है। जब एससी बहुत अधिक होते हैं, तो आरक्षण की आवश्यकता उनको अतिरिक्त भौतिक लाभ पाने के लिए नहीं होती है, क्योंकि उनकी संख्या ही अनारक्षित क्षेत्रों को भी एक महत्वपूर्ण राजनीतिक निर्वाचन क्षेत्र बनाती है। फिर भी, जब अनुसूचित जाति की संरचना मध्यम होती है, तो आरक्षण से अल्पावधि में लाभ मिलता है, जबकि उनका आकार आरक्षण के अभाव में भी उनका राजनीतिक प्रतिनिधित्व सुनिश्चित करता है। हम उप-जाति भिन्नता का एक प्रॉक्सी के रूप में उपयोग करते हुए, एससी के बीच जातीय विविधता के प्रभाव की भी जाँच करते हैं। हम पाते हैं कि अनुसूचित जातियाँ जब सजातीय होती हैं, तब आरक्षण सबसे प्रभावी होता है। यह निष्कर्ष जातीय मतभेदों और सार्वजनिक सुविधाओं के प्रावधानों पर उपलब्ध बड़े साहित्य से संबंधित है (देखें एलेसिना एवं अन्य (1999), बनर्जी और पांडे (2007), और दास एवं अन्य (2017))।

नीति का क्रियान्वयन

इस लेख के कुछ नीतिगत निहितार्थ हैं। पहला यह इंगित करता है कि चूँकि लाभ केवल दीर्घावधि में ही अनुसूचित जाति को प्राप्त होता प्रतीत होता है, आरक्षण तब अधिक कारगर होता है जब इसे दो चक्रों में स्थिर किया जाता है (बीमन एवं अन्य (2009), बर्धन एवं अन्य (2010), डीनिंगर एवं अन्य (2015) के निष्कर्षों के अनुरूप)। दूसरा यह दर्शाता है कि अच्छी तरह से कार्यान्वित आरक्षण नीतियाँ स्वयं-मज़बूत हो सकती हैं- आरक्षण अल्पसंख्यकों के लिए भौतिक सम्पदा बनाता है जिसके कारण वे आरक्षण के अभाव में भी चुनाव में भाग ले पाते हैं, जिससे बदले में उन्हें अधिक धन संचय करने में मदद मिलती है। तीसरा, जहाँ आरक्षण सबसे अधिक कारगर होता है, वहाँ के लिए अल्पसंख्यक समूह का आकार और भिन्नता मायने रखती है, स्थानीय स्तर पर आरक्षण उन राज्यों में सबसे अधिक कारगर हो सकता है जहाँ एससी का हिस्सा न तो बहुत बड़ा होता है और न ही बहुत छोटा होता है।

टिप्पणी:

  1. अल्पावधि प्रभावों की जाँच करने वाले कुछ शोध बेस्ली एवं अन्य (2004), दुफ्लो एवं अन्य (2005), डनिंग और नीलेकणि (2013), और दास एवं अन्य (2017) हैं। उच्च-राज्य स्तरों पर दीर्घकालिक प्रभावों के लिए : पांडे (2003), चिन और प्रकाश (2011), जेन्सेनियस (2015), और गुलज़ार एवं अन्य (2020) देखें।

अंग्रेज़ी के मूल लेख और संदर्भों की सूची के लिए कृपया यहां देखें।

लेखक परिचय : चिन्मय कुमार अज़ीम प्रेमजी विश्वविद्यालय में सहायक प्रोफेसर हैं। उन्होंने शिकागो विश्वविद्यालय से अपनी पीएचडी की है। वे आईजीसी इंडिया बिहार में अर्थशास्त्री रहे हैं। एम.आर. शरण मैरीलैंड विश्वविद्यालय में सहायक प्रोफेसर हैं। उन्होंने हार्वर्ड केनेडी स्कूल से सार्वजनिक नीति में पीएचडी की है। उनकी रुचि के प्राथमिक क्षेत्र विकास अर्थशास्त्र और राजनीतिक अर्थव्यवस्था हैं।

क्या आपको हमारे पोस्ट पसंद आते हैं? नए पोस्टों की सूचना तुरंत प्राप्त करने के लिए हमारे टेलीग्राम (@I4I_Hindi) चैनल से जुड़ें। इसके अलावा हमारे मासिक न्यूज़ लेटर की सदस्यता प्राप्त करने के लिए दायीं ओर दिए गए फॉर्म को भरें।

No comments yet
Join the conversation
Captcha Captcha Reload

Comments will be held for moderation. Your contact information will not be made public.

संबंधित विषयवस्तु

समाचार पत्र के लिये पंजीकरण करें