In 2009, as part of a Government of India programme to improve the welfare of religious minorities, commercial banks were directed to increase credit to these groups. This article finds that the policy led to an increase in access to bank credit among religious minorities in the targeted areas. This in turn reduced the consumption gap between non-minorities and minorities, without any adverse welfare effects on the latter group.
A large body of research shows that access to credit positively affects household welfare (Kaboski and Townsend 2013, Augusburg et al. 2015, Breza and Kinnan 2021). Yet, access to credit in India is not equal across households and individuals. In particular, discrimination against underrepresented minority groups limit their access to credit markets. Affirmative action policies have become a major policy instrument to correct historical inequities in minorities’ access to public institutions, with existing research studying the impact of affirmative action in the spheres of political representation, higher education, and public employment (Pande 2003, Khanna 2020, Akhtari et al. 2024). Against this backdrop, we examine affirmative action in credit markets by looking at the welfare effects of a directed credit programme in India, which aims to expand access to bank credit for religious minorities (Khan and Ritadhi 2023).
Directed credit policy for religious minorities
We focus on the Prime Minister’s New 15 Point Programme for Welfare of Minority Communities: a holistic set of policy objectives aimed towards improving the welfare of religious minorities – namely Muslims, Christians, Sikhs and Buddhist communities (Ministry of Minority Affairs, 2009).1 This included improved access to education, healthcare, and sanitation, as well as protection from targeted violence and discrimination. We study the directive to improve minorities’ access to bank credit. The specific guidelines, framed by the Reserve Bank of India (RBI), directed commercial banks to increase credit to religious minorities in “minority-concentration” areas – that is, districts where the share of religious minorities exceeded 25% of the population (RBI, 2007).2
Intriguingly, no explicit targets were provided by the RBI regarding either the volume or the share of bank credit allocated to religious minorities. Instead, the RBI issued a number of soft nudges to banks to facilitate the implementation of the policy. These included mandating lead banks in each district to assign an officer to look into the credit requirement of religious minorities, sensitising individual bank officers to the needs of minority communities, and requiring banks to file biannual reports on the actual volume of credit disbursed to these groups. The Central Bank also repeatedly urged banks to collaborate with local self-help groups (SHG) to reach eligible minority borrowers, and also conduct information sessions in local communities to increase awareness regarding the directed credit policy.
Empirical strategy and data
We leverage the 25% minority share threshold to compare households’ credit access across minority-concentration and non-minority-concentration districts. Illustratively, our empirical analysis compares household credit access for a district where the minority population share was 23%, with a district where the minority population share was 27%. If households across these two districts were highly comparable to one another, minority households in the district where the share of religious minorities was 23% can serve as a valid counterfactual for minority households in the district where the share of religious minorities was 27%. The implicit assumption is that districts within a narrow neighbourhood above and below the 25% threshold would be highly comparable – the critical exception would be that districts with minority population shares exceeding the 25% threshold were eligible for the expansion in bank credit towards religious minorities.
We empirically confirm the comparability of households in these districts along key characteristics, and compare bank credit access for minority households located in districts with minority population shares between 25% and 31%, vis-à-vis minority households residing in districts with minority population shares between 19% and 25%. As Muslims account for 80% of religious minorities in India, our primarily analysis is restricted to Muslim households.3
We study the impact of the directed credit policy for religious minorities using household survey data from the All India Debt and Investment Survey (AIDIS), a nationally representative household survey conducted by the National Sample Survey Organisation (NSSO). The survey provides information on household assets and liabilities, including loans from bank and non-bank financial institutions. We use the 2019 AIDIS, which allows us to evaluate the impact of the directed credit policy over the long term, in equilibrium.
Key findings
We find a causal 11 percentage point increase in bank credit access for religious minorities in minority-concentration areas. When considering that the average minority-concentration district in our sample had 1.6 million Muslim households, the results imply that the policy increased access to bank credit for an additional 0.18 million Muslim households.4 In terms of bank loan amounts, minority households in minority-concentration districts report an additional Rs. 17,000 in bank credit. This equates to about 10% of annual household expenditures, pointing to a substantially large impact of the directed credit policy on minorities’ access to bank credit. Farm loans accounted for about 40% of the increase in bank credit, with the remainder being comprised of household expenditure loans. Consistent with the increase in farm loans, we find minority households in minority-concentration areas report higher ownership of irrigated farmlands and farm machinery.
Figure 1. Impact of directed credit policy on bank credit access among minorities
Notes: (i) The left panel shows the impact of the policy on whether a minority household has any outstanding bank loan, and the right panel shows the impact on amount of bank loans received by minority household. (ii) Observations to the right of the vertical line corresponds to districts eligible for the policy (minority population shares of 25-31%); those to the left of vertical line are districts ineligible for the policy (minority population shares of 19-25%).
A major critique of affirmative action policies is that they exclude eligible non-minority beneficiaries, or lead to a quality-fit trade-off due to inadequate information regarding minority preferences.5 We address the first by comparing bank credit access for religious non-minority households across minority and non-minority-concentration areas. Reassuringly, overall access to bank credit, and the amount of bank credit received by non-minority households remain comparable across these districts. This alleviates concerns that the expansion in bank lending to religious minorities in minority-concentration areas came at the expense of non-minorities residing in these districts.
To address the second concern, we document comparable rates of delinquency for minority households across minority-concentration and non-minority-concentration areas. If minority borrowers were inherently riskier, or lenders had limited information for this set of borrowers, we would have expected increased bank loan delinquencies as a result of this policy. However, we find this not to be the case.
We observe that the expansion in bank lending to religious minorities was undertaken through two key channels: first, consistent with the directives from the central bank, commercial banks took advantage of bank-linked SHGs. While direct lending by commercial banks to minorities also increased, loans issued through bank-linked SHGs accounted for approximately 60% of the increase in the number of minority bank loans made in minority-concentration areas.6 As SHGs are considered to have superior information and monitoring capabilities, an expansion in lending through bank-linked SHGs also possibly explain the limited default of minority borrowers on bank loans.
Second, we find evidence of banks lowering collateral requirements for loans made to minority borrowers. As collateral is often used to secure loans in the presence of information asymmetries or high costs of monitoring, a relaxation in collateral requirements points to increased efforts undertaken by banks to acquire information about minority borrowers. However, we find no evidence of a relaxation in bank lending rates for minority borrowers in minority-concentration areas. This rules out that the increase in bank credit for religious minorities emanated through the cross-subsidisation of non-minority borrowers.
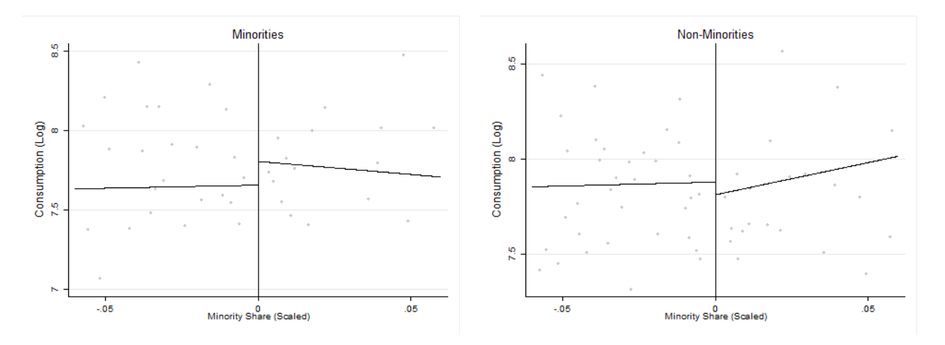
We conclude our empirical analysis by evaluating how the directed credit policy affected overall minority welfare. We use households’ per capita monthly consumption as an aggregate measure of household welfare. We find minority households in minority-concentration districts to report an additional Rs. 441 in household per capita spending – 16% more than the per capita monthly household expenditures for minorities in non-minority-concentration areas. There is no corresponding impact for non-minority households, which assuages concerns that the directed credit policy might have negatively affected welfare outcomes for non-minorities. As the consumption gap between religious minorities and non-minorities was 25%, the 16% increase in per capita monthly consumption for religious minorities suggests that the directed credit policy reduced the consumption gap between minorities and non-minorities by approximately 60%.
Figure 2. Impact of directed credit policy on consumption for minorities and non-minorities
Note: Observations to the right of the vertical line corresponds to districts eligible for the policy (minority population shares of 25-31%); those to the left of vertical line are districts ineligible for the policy (minority population shares of 19-25%).
Conclusion
Our research examines the impact of a policy that nudged banks to expand lending in minority-concentration districts, where religious minorities comprised in excess of 25% of the district population. We document large positive impacts on access to bank credit for Muslim households, leading to increased ownership of farm machinery, as well as higher levels of household consumption. Indeed, the consumption gap between Muslim and non-minority households was 60% lower in minority-concentration districts.
Importantly, improved access to bank credit did not result in greater bank loan delinquencies, alleviating concerns that the policy forced banks to lend to sub-optimal borrowers. There is also limited evidence that the policy resulted in a crowd-out of non-minorities from accessing bank loans in these districts. Using population estimates from the 2001 Census, a third of India’s religious minorities, residing in 121 districts, stood to gain from the policy. However, an additional 24% of religious minorities in 2001 resided in the 240 districts, which had a minority population share ranging from 15% to 25% . In light of the strong positive effects of the policy and limited negative drawbacks, there is a strong case of extending the policy to these set of districts, which would expand the overall eligibility of the policy to 60% of the nation’s minority population.
Notes:
- These groups were classified as religious minorities as per the Population Census of 2001. Subsequently, the Jain community too was included in this list.
- District minority population shares were computed using the 2001 Population Census. Using the 25% minority population share threshold, a total of 103 districts were classified as “minority-concentration’’ districts. The government subsequently added a further 18 districts to this list. We exclude this set of districts, as well as the district located in Punjab, Meghalaya, Mizoram Nagaland, and Jammu and Kashmir. The policy did not apply to these states as religious minorities constituted a majority in the population. The Union Territory of Lakshadweep is also excluded for the same reason.
- Our empirical findings are robust to the inclusion of other religious minorities.
- All empirical results are based on a sample that compares districts with a minority population share between 25% and 31%, to districts with a minority population share between 19% and 25%.
- For instance, it is possible that banks had private information on the quality of minority borrowers and were unwilling to lend to them previously, as such borrowers had limited repayment capabilities. In such a situation, a directed credit programme designed by policymakers would be sub-optimal, and it might be worthwhile to offer asset transfer programmes to first raise income flows of minority borrowers.
- The bank-linked SHG programme involves commercial banks directly lending to SHGs holding accounts. SHGs subsequently disburse the loan within the group to eligible members.
Further Reading
- Akhtari, Mitra, Natalie Bau and Jean-William Laliberté (2024), “Affirmative Action and Precollege Human Capital”, American Economic Journal: Applied Economics, 16(1): 1-32.
- Augsburg, Britta, Ralph De Haas, Heike Harmgart and Costas Meghir (2015), “The Impacts of Microcredit: Evidence from Bosnia and Herzegovina”, American Economic Review, 7(1): 98-133.
- Breza, Emily and Cynthia Kinnan (2021), “Measuring the Equilibrium Impacts of Credit: Evidence from the Indian Microfinance Crisis”, The Quarterly Journal of Economics, 136(3): 1447-1497.
- Kaboski, Joseph P and Robert M Townsend (2012), “The Impact of Credit on Village Economies”, American Economic Journal: Applied Economics, 4(2): 98-133.
- Khan, Y and SK Ritadhi (2023), ‘Equilibrium Effects of “Financial Affirmative Action”: Evidence from India’, Working Paper.
- Khanna, Gaurav (2020), “Does Affirmative Action Incentivize Schooling? Evidence from India”, The Review of Economics and Statistics, 102(2): 219-233.
- Pande, Rohini (2003), “Can Mandated Political Representation Increase Policy Influence for Disadvantaged Minorities? Theory and Evidence from India”, American Economic Review, 93(4): 1132-1151.




27 August, 2024 





Comments will be held for moderation. Your contact information will not be made public.