In Bihar, India and in rural Zambia, the government introduced programmes to address gender gaps in education by providing adolescent girls with bicycles for their commute to school. Discussing the immediate and long-term impacts of these initiatives, this article provides insights into designing more effective and sustainable policies to promote gender parity in education.
This is the fifth post of a five-part series to mark International Women’s Day 2025.
The United Nations identified “promoting gender equality and empowering women” as one of the eight Millennium Development Goals for 2015, recognising the critical importance of “eliminating gender disparity in primary and secondary education” in achieving this objective. Nearly a decade after the target deadline, significant progress has been made. However, the World Economic Forum’s Global Gender Gap Report 2024 ranked India 112th globally in terms of gender disparity in educational attainment (World Economic Forum, 2024).1 While the enrolment of girls in primary and secondary schools has increased modestly, the literacy gap between men and women in India remains at 17.2 percentage points. Notably, the Report indicates a slight decline in India’s gender parity levels in educational attainment compared to previous years.2
Various policies have been implemented to address this gender gap, focusing either on the supply or demand side of education. Expanding school infrastructure is one approach to improving the supply of education, but it is costly and often difficult to sustain and monitor. On the demand side, programmes such as government campaigns (Beti Bachao, Beti Padhao), mid-day meal initiatives, and conditional cash transfers aim to incentivise families to prioritise girls' education.
The power of two wheels: Bicycles as an educational intervention
We highlight the impact of two programmes – one in Bihar, India, and the other in Zambia – that addressed both the supply and demand challenges by providing bicycles to schoolgirls (Muralidharan and Prakash 2017, Fiala et al. 2022). On the supply side, these programmes reduced the ‘distance cost’ of schooling by improving physical accessibility and enhancing safety, thereby removing a major barrier to education for adolescent girls. On the demand side, they incentivised families to invest in girls' education by reinforcing the perception of schooling as a valuable and attainable goal. Simultaneously, these interventions played a crucial role in shifting social norms by promoting mobility and education, fostering broader community support for gender equity in schooling.
We then examine the paradoxical findings of a recent follow-up study on one of these programmes, which revealed unintended consequences that challenge conventional measures of women's empowerment (Garcia-Hernandez 2024). These results underscore the need to contextualise empowerment narratives and consider the complex interactions between socioeconomic interventions and cultural norms. By analysing both the immediate and long-term effects of these initiatives, we aim to provide insights into designing more effective and sustainable policies to bridge gender gaps in education.
The Bihar government’s Mukhyamantri Balika Cycle Yojana
Launched in 2006, the Mukhyamantri Balika Cycle Yojana was an innovative initiative by the Bihar government designed to address a major barrier to girls’ secondary education: the ‘distance cost’ of schooling. The programme provided bicycles to girls transitioning to grade 9, enabling them to commute to school more easily and safely. By improving physical access to education, the intervention aimed to reduce gender disparities and empower girls to continue their studies.
The policy’s significance is justified on both intrinsic and instrumental grounds. From an intrinsic perspective, it aligns with the capability framework (Sen 1993, Nussbaum 2011), emphasising the right to education as a fundamental enabler of human development. Instrumentally, the programme contributes to broader social and economic benefits, including lower infant, child, and maternal mortality rates, improved human capital transmission to future generations, and increased female labour force participation and income generation.
By simultaneously addressing immediate barriers to education and fostering long-term societal and economic gains, the initiative demonstrated the transformative potential of investing in girls’ education.
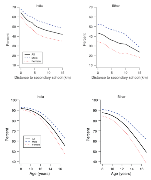
Figure 1. Gender gap in school enrolment in Bihar relative to the country overall, and with increasing distance to school
Using a large household survey and a ‘triple-difference estimation’ approach, the Bihar study documented a 32% increase in girls' age-appropriate enrolment and a 40% reduction in the gender gap for secondary education. The triple-difference method allowed researchers to isolate the programme’s impact by comparing enrolment changes (a) between girls and boys, (b) across ‘treatment’ (subjected to intervention) and ‘control’ (not subjected to intervention) cohorts, and (c) between Bihar and the neighbouring state of Jharkhand3. This robust analysis confirmed that the observed differences were attributable solely to the programme.
The greatest gains were observed in villages located farther from schools, where distance posed the most significant barrier for girls. This finding suggests that reducing both the physical and safety costs of commuting played a pivotal role in the programme's success.
Beyond improving enrolment, the intervention also led to an 18% increase in the number of girls appearing for crucial secondary school exams and a 12% rise in pass rates. Compared to direct cash transfer programmes in the region, the bicycle initiative proved to be a cost-effective strategy as it simultaneously increased both household incentives to prioritise education and the effective supply of schooling by making it more accessible. This dual benefit, coupled with the programme’s scalability, makes it a compelling model for similar contexts.
Wheels of change in Zambia
In rural Zambia, the “Bicycle for Empowerment and Education Programme” (BEEP), introduced in 2009, adopted a similar strategy, providing bicycles to schoolgirls who lived more than three kilometres from their schools. Conducted across 100 schools, this randomised controlled trial produced significant outcomes: a 35% reduction in commuting time, a 66% improvement in punctuality, and a 27% decline in absenteeism. These immediate benefits contributed to long-term improvements, including higher school retention rates and enhanced empowerment outcomes, such as increased locus of control, bargaining power, and aspirations for women.
The impact of the intervention extended beyond education. Girls reported feeling safer and more independent, with bicycles serving as tools for both mobility and empowerment. However, notable differences emerged based on whether families contributed to the cost of the bicycles. The authors studied two treatment arms – one in which there was a small fee charged from the beneficiary’s families towards the maintenance, checks and spare parts of the bicycle, and another in which no fee was charged. Girls who received the bicycle with a small cost to their family reported higher levels of aspirations, self-image, and a desire to delay marriage and pregnancy. This further highlights the complexities of designing optimal in-kind transfer schemes. The Zambian programme underscores how targeted interventions can effectively dismantle structural barriers and support vulnerable populations.
Parallels and paradoxes
Despite differences in socioeconomic and cultural contexts, the studies in Bihar and Zambia reveal a shared insight: mobility interventions like bicycles can significantly improve educational and empowerment outcomes. Both programmes effectively addressed physical barriers to schooling, leading to measurable gains in access, participation, and retention. Additionally, by tackling safety concerns and socio-cultural constraints, these interventions had broader implications for girls’ lives.
However, a recent follow-up study on the Zambian programme revealed unexpected long-term consequences (Garcia-Hernandez 2024). While the intervention improved socioeconomic status and reduced domestic violence, it also led to higher rates of early marriage and pregnancy among recipients. Researchers attribute this ‘empowerment paradox’ to an increased perceived value of girls in marriage markets, evidenced by a rise in ‘bride prices’.
These findings underscore the complex relationship between economic interventions and socio-cultural norms. While the programme enhanced self-reported empowerment indicators, it also highlighted the need to rethink how empowerment is measured. Standard metrics often fail to capture the nuanced realities of empowerment across different cultural settings. Contextualising evaluation frameworks to better reflect local norms and lived experiences would allow for a more accurate and meaningful understanding of empowerment. This shift is crucial for ensuring that development interventions generate sustainable and equitable progress, rather than reinforcing unintended consequences.
The diverging long-term outcomes of the Bihar and Zambia studies highlight a fundamental challenge in development policy: balancing external validity (scalability across contexts) with context relevance (ensuring interventions align with local norms and conditions). While Bihar’s programme produced consistent academic and gender equity benefits, the empowerment paradox observed in Zambia demonstrates that even well-intentioned interventions can lead to unexpected and contradictory outcomes. This complexity underscores the importance of designing policies that are not only evidence-based but also sensitive to cultural contexts, ensuring that interventions achieve their intended long-term impact.
Key takeaways
Gender disparities in education persist and require holistic solutions: Programmes like the bicycle distribution initiatives in Bihar and Zambia demonstrate how reducing physical and safety barriers can significantly improve access to education. By addressing challenges such as distance and security, these interventions not only enhance educational outcomes but also contribute to broader aspirations and empowerment for girls.
Bicycle programmes are often more effective than cash transfers: Unlike direct cash transfers, which may not address structural issues, mobility-focused initiatives directly improve school accessibility and safety – critical factors in girls’ education. However, these programmes also highlight the complexity of social change, as well-intentioned interventions can sometimes lead to unexpected consequences.
Global policies reinforce the need for comprehensive approaches: Recent strategies, such as UNESCO’s “Strategy for Gender Equality in and through Education” (2019) and initiatives under the “Global Partnership for Education” (2024), emphasise the importance of improving infrastructure, legal frameworks, and teaching practices. These policies recognise that effective interventions must simultaneously address both supply-side factors (for example, school accessibility) and demand-side incentives (for example, to keep girls in school).
Scalability requires adaptability and context-specific implementation: As policymakers seek to expand such programmes, they must ensure flexibility in design and rigorous monitoring of outcomes. Anticipating unintended effects is crucial for sustainable and equitable progress. Rather than treating these programmes as universal solutions, they should be seen as adaptable frameworks that can be tailored to different socio-cultural contexts to break systemic barriers to education and empowerment.
Notes:
- The annual Global Gender Gap Report released by the World Economic forum measures gender gap across four subindices – Economic Participation and Opportunity, Educational Attainment, Health and Survival, and Political Empowerment.
- The Educational Attainment subindex includes four metrics, all measured in percentages: literacy rate, enrolment in primary education, enrolment in secondary education and enrolment in tertiary education.
- Formerly a single state, Bihar was split to form two states – Bihar and Jharkhand – in 2000.
Further Reading
- Fiala, N, A Garcia-Hernandez, K Kritika and N Prakash (2022), ‘Wheels of Change: Transforming Girls’ Lives with Bicycles’, CESifo Working Paper No. 9865. Available on SSRN.
- Garcia-Hernandez, A (2024), ‘The Empowerment Paradox? The Long-Run Impact of a Cycling Program for Girls in Zambia’, AEA RCT Registry. Available here.
- Muralidharan, Karthik and Nishith Prakash (2017), “Cycling to School: Increasing Secondary School Enrollment for Girls in India”, American Economic Journal: Applied Economics, 9(3): 321-335.
- Nussbaum, MC (2011), Creating Capabilities: The Human Development Approach, Harvard University Press.
- Sen, A (1993), ‘Capability and Well-Being’, in MC Nussbaum and A Sen (eds.), The Quality of Life, Clarendon Press.
- World Economic Forum (2024), ‘Global Gender Gap, 2024’, Insight Report.




07 March, 2025 






Comments will be held for moderation. Your contact information will not be made public.