India’s target under the Paris Agreement on climate change, is to reduce greenhouse gas emission intensity by 33-35% by 2030, from the 2005 level. In a previous I4I post, Manisha Jain showed that the estimated progress towards the target varies across external and country data sources. Based on further analysis, in this post, she argues that the different datasets give different answers to questions about the scope of raising India’s climate targets, and the effectiveness of its mitigation strategies.
Several recent studies show that India is on track to meeting its Paris Agreement goals (Climate Action Tracker, 2021, den Elzen et al. 2019). However, there is limited analysis so far on the uncertainties around the achievements (Subramanian 2019). It is important to have more information about the progress made towards the goals, in order to assess the extent to which India can increase its targets, and the effectiveness of its mitigation strategies.
Tracking India’s energy-related CO2 emissions
India's greenhouse gas (GHG) emission intensity target is to reduce its GHG emissions intensity1 by 33-35% in 2030, based on 2005 levels (United Nations Framework Convention on Climate Change (UNFCCC), 2009). Hence, one indicator of India's progress in meeting the goal is the reduction in GHG emissions intensity achieved since 2005. According to estimates from country-reported data2 India achieved a 21% reduction in GHG emissions intensity in 2014 compared to 2005. In an earlier blog post on Ideas for India, I compared the emission intensity reduction from country-reported data with estimates from external data (third-party data). I showed that the decline in GHG emission intensity from external data sources is less than country-data estimates (Jain 2020).
As discussed in the above mentioned post, there are two main issues with India’s country-reported data. Firstly, the data for the baseline year, that is, 2005, is not reported. Secondly, the detailed breakdown of emissions by gases and sectors are available only for certain years, excluding 2005. Due to these limitations, analysts use external data to study India’s decarbonisation progress. There are few differences in the estimates of carbon dioxide (CO2) emissions from fossil fuel combustion, between country-reported data and external data sources. In this post, I address the two remaining questions presented at the end of the previous analysis: what are the causes of the difference, and what are its policy implications?
The emission of CO2 from fossil fuel combustion is the main contributor to the climate change crisis. Hence, tracking energy-related CO2 emissions is essential for understanding the decarbonising progress of an economy. Further, a sector-level analysis is important to distinguish the effects of structural changes in the economy, and technological progress in driving the emissions. The sources for sector-level emissions data are limited – the most commonly used source is the International Energy Agency (IEA) (Karstensen 2020, Jain 2020). A few studies also estimate sector-level data using national energy statistics, following the International Panel on Climate Change (IPCC) guidelines for national GHG inventories (Das et al. 2020). Data from the IEA and data estimated from national energy statistics3 are available at an annual frequency.
Country-reported versus external data
I extract India’s CO2 emissions from IEA data and compare with estimates reported in country data (Jain 2021). GHG emissions are reported in seven categories – electricity production industries, industries for refining and manufacturing solid fuels, manufacturing and construction, transport, commercial, agriculture and fisheries, and residential. Table 1 shows that there are several sources of the difference between the two datasets. A significant variation is in the estimates of emissions from manufacturing and construction for 2010 and 2014. The emission from manufacturing and construction in IEA data is 39% higher for 2010 and 44% higher for 2014. Besides, there are discontinuities (sudden change in values) in country-reported data in agriculture and commercial sectors. The emissions from electricity generation, transport, and residential sectors are similar in the two datasets for all years.
Table 1. India's sector-level energy-related CO2 emissions (in million tonnes)
|
Data source |
Country data |
IEA |
||||||
|
Year |
2000 |
2007 |
2010 |
2014 |
2000 |
2007 |
2010 |
2014 |
|
Energy |
||||||||
|
Electricity generation |
522 |
716 |
816 |
1078 |
459 |
656 |
790 |
1081 |
|
Other energy industries |
19 |
69 |
60 |
57 |
32 |
45 |
31 |
37 |
|
Manufacturing and construction |
228 |
258 |
299 |
350 |
188 |
290 |
415 |
506 |
|
Transport |
96 |
139 |
184 |
246 |
95 |
143 |
193 |
236 |
|
Other |
||||||||
|
Commercial |
3 |
2 |
4 |
25 |
10 |
13 |
16 |
21 |
|
Residential |
55 |
69 |
75 |
86 |
63 |
71 |
76 |
82 |
|
Agriculture and fisheries |
28 |
33 |
3 |
2 |
25 |
25 |
26 |
31 |
|
Total |
952 |
1,286 |
1,442 |
1,845 |
872 |
1,243 |
1,547 |
1,994 |
While the differences in energy and emissions estimates across data sources have been highlighted in the past (Macknick 2011), there is limited discussion on how these affect indicators relevant to policy.
While estimating GHG emissions, the common practice is to place emissions from electricity generation in one category. However, since various end-use sectors (for example, agriculture, industries), consume electricity, emissions from electricity production should be reallocated to end-use consumer categories. I do so by using electricity sales share as weights. I then calculate emissions intensity for the three production sectors: agriculture and allied, industry and commercial and services.
Figure 1 plots CO2 emissions intensity calculated from the two data sources for the period 2000-2014. The estimates from the two sources are significantly different for all years except 2007. As per IEA data, India’s CO2 emissions intensity from 2005 to 2014 has increased by 7%. Since data for 2005 are not available from country-reported sources, I used 2007 data for comparison. As per country-reported data, India’s CO2 emissions intensity declined by 6% between 2007 and 2014. In contrast, IEA data show an increase of 5% in the corresponding value during the same period. As per IEA data, the emissions intensity increased in all sectors between 2005 and 2014, and between 2007 and 2014. However, country-reported data show a decline in emission intensity of industry and agriculture and allied sectors during 2007-2014.
Figure 1. Energy-related CO2 emissions intensity of the economy, and by economic activity
Sources: (i) Country-reported data are taken from India's second national communication and, first and second biennial reports submitted to UNFCCC (MoEFCC 2012, MoEFCC 2015, MoEFCC 2018). (ii) IEA data are taken from IEA Data and Statistics (IEA, 2019). (iii) GDP and GVA data at constant 2011-12 prices are taken from back series of National Account Statistics published by Government of India (Ministry of Statistics and Programme Implementation (MoSPI), 2019).
Examining changes in emission intensity
The energy-CO2 emissions of a region are driven by changes in economic activity and intensity of emissions from the economic activity. The emission intensity of an economy can change due to structural and technological factors. Structural factors could include an increase in the services sector's share, or a shift towards less energy-intensive industries, or changes in the mix of fuels that are used. Technological factors are mainly the adoption of energy-efficient technologies. Policy interventions for climate change mitigation aim to reduce emissions intensity through technological factors. One way to find if government policies to reduce emissions are useful, is to estimate the contribution of technological factors to the changes in emissions. The effect of a shift towards the service sector can be estimated using sector-level emissions data. The effect of structural changes within a sector, such as a shift towards less/more energy-intensive industries, can be separated only using sub-sector level data. In the absence of the sub-sector level data, the combined effects of technology and sector-level structural changes can be estimated.
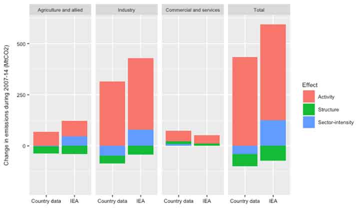
The effect of technological factors is commonly separated using the Index Decomposition Analysis technique (Ang 2015).4 The activity effect, structure effect and the sector-intensity effects are captured using Gross Value Added (GVA), share of sectors in GVA and CO2 emissions intensity of the sectors respectively. Using this technique, I decompose the drivers of the change in emissions between 2007 and 2014. Using the sectoral share in GVA, I separate the effect of the shift towards the service sector. The remaining effect, referred to as the sector-intensity effect, can be attributed to the adoption of energy-efficient technologies and structural changes within the sector that impact energy consumption without affecting the economic output.
The results of the decomposition analysis are shown in Figure 2. As expected, the ‘activity effect’ that is determined by the growth in economic activities, is positive in all sectors as per both datasets. The structural effect pushed emissions down in both agriculture and industry, in both datasets, due to a shift towards the service sector during 2007-2014. As per the IEA data, the sector-intensity effect of agriculture and industry has pushed emissions upwards, leading to a positive sector-intensity effect in the total change. On the other hand, as per country data, the sector-intensity effect is negligible in agriculture but negative in the industry, causing a downward push in aggregate change in emissions. An upward push in the aggregate change in emissions implies that the strategies to push emissions down have not worked; a downward push in the aggregate change in emissions implies otherwise.
Figure 2. Drivers of changes in India's energy-CO2 emissions, 2007-2014
Different data, different answers
The results from the two datasets give two different narratives on the effect of India’s mitigation strategies between 2007 and 2014. Analysis of IEA data indicates that the effects of India’s energy efficiency programme on reducing emissions have been negated by an increase in the energy intensity of agriculture and industrial production. On the other hand, results from country-reported data suggest a possible role of the energy efficiency programmes in driving the emissions down. This shows that the two datasets give different answers to the questions about the scope of raising India’s climate targets, and the effectiveness of its mitigation strategies. Given the importance of these factors in India’s climate policy it is critical to address the data gaps in country-reported estimates of emissions.
I4I is now on Telegram. Please click here (@Ideas4India) to subscribe to our channel for quick updates on our content.
Notes:
- Energy-CO2 emissions intensity of the economy is the ratio of CO2 emissions from fossil fuel combustion and country GDP (gross domestic product) at constant prices. Sector-level emissions intensity is the ratio of sector-level CO2 emissions and sectoral GVA (gross value added) at constant prices.
- Country-reported data are the inventory of GHGs prepared by experts empanelled by the national government. National communications by the Government of India are submitted every four years to the UNFCCC, and biennial update reports are submitted every two years.
- The sector-level CO2 emissions data from India’s country reports are available for five years – 1994, 2000, 2007, 2010, and 2014 (Ministry of Environment, Forests and Climate Change (MoEFCC)).
- This is a technique used to decompose an aggregate, such as energy consumption, into its underlying drivers, for example, increase in economic activity or changes in the intensity of energy consumption.
Further Reading
- Ang, BW (2015), “LMDI decomposition approach: A guide for implementation”, Energy Policy, 86: 233-238. Available here.
- Climate Action Tracker (2021), ‘Country Assessment: India’.
- Das, Nandini and Joyashree Roy (2020), “India can increase its mitigation ambition: An analysis based on historical evidence of decoupling between emission and economic growth”, Energy for Sustainable Development, 57: 189-199. Available here.
- Den Elzen, Michel, Takeshi Kuramochi, Niklas Höhne, Jasmin Cantzler, Kendall Esmeijer, Hanna Fekete, Taryn Fransen, Kimon Keramidas, Mark Roelfsema, Fu Sha, Heleen van Soest and Toon Vandyck (2019), "Are the G20 economies making enough progress to meet their NDC targets?", Energy policy, 126: 238-250. Available here.
- IEA (2019), ‘CO2 emissions by energy source’, Data and Statistics.
- Intergovernmental Panel on Climate Change (2014), ‘Climate change 2014: Mitigation of climate change’, Working Group III Contribution to the Fifth Assessment Report of the IPCC, Cambridge University Press.
- Jain, M (2020), ‘Drivers of change in India’s energy-related carbon dioxide emissions during 1990-2017’, Indira Gandhi Institute of Development Research Working Paper 2020-19.
- Jain, M (2020), ‘Tracking India’s greenhouse gas emission intensity target’, Ideas for India, 21 August.
- Jain, M (2021), ‘Drivers of change in India’s energy-related carbon dioxide emissions during 1990-2017’, Indira Gandhi Institute of Development Research Working Paper 2020-19.
- Karstensen, Jonas, Joyashree Roy, Barun Deb Pal, Glen Peters and Robbie Andrew (2020), “Key Drivers of Indian Greenhouse Gas Emissions”, Economic and Political Weekly, 55(15): 47.
- Macknick, Jordan (2011), “Energy and CO2 emission data uncertainties”, Carbon Management, 2(2): 189-205.
- MoEFCC (2004), ‘Initial National Communication to the United Nations Framework Convention on Climate Change’, Government of India. Available here.
- MoEFCC (2012), ‘Second National Communication to the United Nations Framework Convention on Climate Change’, Government of India. Available here.
- MoEFCC (2015), ‘First Biennial Update Report to the United Nations Framework Convention on Climate Change’, Government of India. Available here.
- MoEFCC (2018), ‘Second Biennial Update Report to the United Nations Framework Convention on Climate Change, Government of India. Available here.
- MoSPI (2019), ‘Back-Series of National Accounts Statistics (Base 2011-12)’, Government of India.
- Subramanian, K (2019), ‘Is India on track to meet its Paris commitments’, DowntoEarth, 21 October.
- UNFCCC (2015), ‘India’s Intented Nationally Determined Contribution: Working towards climate justice’, Government of India.




22 April, 2021 




By: Aanchal 29 March, 2022
Your paper is detailed but if you are publishing it in 2021, I would have liked more detailed progress till 2020 at least. Mainly hows the progress has been made since the formation of the new government.