From its management of the devastating Super Cyclone in 1999 to the more recent challenges posed by the Covid-19 pandemic, the state of Odisha has been a testament to the power of adaptive governance. In this post, Souryabrata Mohapatra discusses four key aspects of Odisha’s model for disaster resilience – multi-layer institutional framework, ground-up approach, capacity-building, and infrastructure and technology – reflecting the state’s ethos of valuing every life.
The eastern state of Odisha has historically faced numerous severe natural disasters (see Figure 1 below) – most notably the Super Cyclone of 1999, which resulted in significant loss of life and property. Odisha’s geographical positioning is both a boon and bane. Its long coastline along the Bay of Bengal provides favourable conditions such as a thriving fishing industry and major ports. the location also makes it particularly vulnerable to cyclones, which bring with them heavy rains, storm surges, and strong winds – leading to flooding and landfalls (Figure 2). In addition, the subtropical coastal climate exacerbates the state’s susceptibility to extreme weather events. Odisha’s rivers, including the Mahanadi, Brahmani and Baitarani, also contribute to the flooding risk, especially when cyclonic rains coincide with high tides.
With a large proportion of the population dependent on fishing and agriculture, climate events make them especially vulnerable and the state grapples with significant socioeconomic challenges such as high poverty rates.
Figure 1. Disaster fatalities in Odisha, 1999-2011
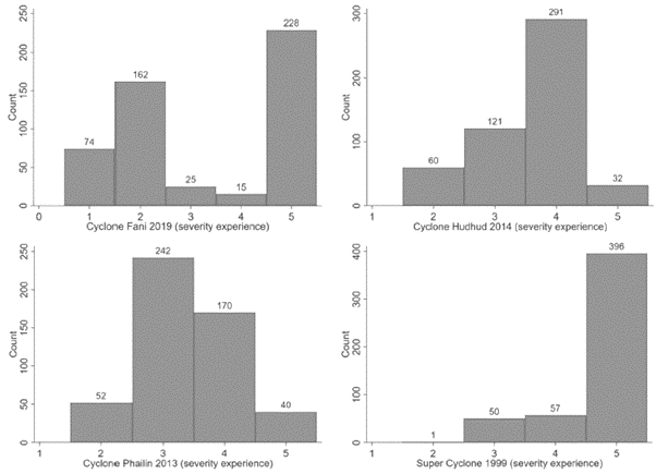
Figure 2. Households’ experiences of cyclone severity in Odisha, 1999-2019
Note: Scores in the histogram plots are on a Likert scale (1-5) where 1 represents very low severity and 5 represents very high severity.
Source: Sen et al. (2023).
The 1999 event served as a catalyst for the state to overhaul its disaster management strategies. Over the years, the state government has implemented a comprehensive disaster management framework that includes early warning systems, community training programmes, and robust infrastructure development to mitigate the impact of natural calamities. Odisha’s proactive measures in disaster preparedness and management have not only saved countless lives but also served as a model for other regions facing similar climatic threats.
In this post, I discuss four key aspects of Odisha’s model for disaster resilience – multi-layer institutional framework, ground-up approach, capacity-building, and infrastructure and technology – reflecting the state’s ethos of valuing every life. Drawing broad lessons for other Indian states and developing countries that may be facing similar challenges, I also highlight a few areas for further strengthening so that Odisha can continue to solidify its position as a leader in disaster resilience.
Multi-layer institutional framework
When the Super Cyclone hit the state in 1999, a multi-layer institutional framework was established, down to the grassroots level. This framework, exemplified by the Odisha State Disaster Management Authority (OSDMA), embodies the state’s commitment to saving lives and building resilience. The set-up aligned all stakeholders, including government officials, communities and NGOs, toward a common goal of disaster preparedness and prompt and effective response. This coordinated approach has since been ingrained in the state’s ethos and has been instrumental in effectively managing subsequent crises, as evidenced by the timely evacuations and relief efforts during both the pandemic and cyclonic events in recent years.
Besides OSDMA, the Odisha Climate Change Action Plan was also conceived in the wake of the Super Cyclone. Implementation of Village Disaster Management Plans and decentralisation of disaster response highlights the state’s emphasis on grassroots engagement and participatory governance.
When Odisha faced the dual challenges of the Covid-19 pandemic and a cyclone, its robust institutional framework was crucial. The state’s first Covid-19 case emerged on 15 March 2020. Drawing on its disaster management experience, Odisha adapted its strategies to tackle the pandemic effectively.
The state’s proactive measures helped control the Virus, safeguarding livelihoods, health, and the economy. Odisha’s pre-existing 824 multipurpose cyclone and flood shelters became invaluable as quarantine centres and temporary medical facilities for locals and returning migrants.
Field officials reported that these shelters saved lives by providing food and enabling social distancing (Banerjee and Mohapatra 2023). Additionally, state and district crisis committees facilitated informed policy decisions, significantly reducing infection rates.
Ground-up approach
Central to Odisha’s adaptive governance approach is the active involvement of communities and NGOs in disaster preparedness and response. Through initiatives like Community-Based Disaster Preparedness (CBDP), the state empowers local communities to become first responders and active participants in disaster management. NGOs play a crucial role in capacity-building, vulnerability assessments and supporting government-led initiatives, thereby fostering a collaborative ecosystem for disaster resilience.
Odisha’s commitment to decentralised decision-making is evident in its empowerment of local authorities, particularly through the involvement of Panchayati Raj Institutions (PRIs) in disaster management. The amendment of laws and enforcement of strict compliance measures, such as the imposition of swift and stringent lockdowns during the pandemic, illustrates the state’s proactive approach towards risk reduction and mitigation. By amending the Odisha Gram Panchayat Act of 1964 in 2020, the state empowered local authorities to manage disaster planning and response, enabling swift, localised decision-making. Odisha was one of the first states in India to impose a prompt lockdown, resulting in lower infection rates and deaths compared to other states (Sahoo and Kar 2021).
Capacity-building
Odisha has prioritised capacity-building across all levels of governance and society, recognising the importance of preparedness in disaster resilience.
More importantly, by integrating disaster management into educational curricula and training programmes for elected representatives and volunteers, the state aims to foster a culture of resilience from the grassroots to the top layers of state administration. This operates at multiple levels, like educational institutions (disaster management is taught in schools and colleges to educate the younger generation on preparedness and response), elected representatives (training is provided to all elected officials, from the Chief Minister to ward members, promoting informed decision-making during crises), community (OSDMA trains community volunteers in disaster response skills, and places emphasis on women’s participation for inclusive preparedness efforts), institutional framework (state and district Disaster Management Authorities coordinate disaster management plans and provide regular training for officials at all levels, enhancing response capabilities).
Infrastructure and technology
Investments in disaster-resilient infrastructure and long-term mitigation strategies, such as coastal embankment protection and shelter belt plantation, underscore Odisha’s commitment to building back better and enhancing its overall resilience.
Odisha’s collaboration with international partners and installation of hi-tech equipment have significantly enhanced its early warning system and, hence, disaster preparedness. Partnerships with organisations like Earth Network and RIMES (Regional Integrated Multi-Hazard Early Warning System) have enabled the deployment of lightning detection and early warning systems, reducing fatalities caused by lightning strikes. Moreover, the integration of modern communication technologies, such as the Early Warning Dissemination Systems, ensures timely dissemination of critical information to vulnerable communities, thereby enhancing their preparedness and resilience.
Lessons, and way forward
Odisha’s disaster management model has effectively decreased the loss of lives, as seen in recent years. The state’s ‘zero casualty’ strategy has garnered commendations, including awards and acknowledgements from both the central government and the United Nations.
Indeed, Odisha’s disaster management model offers valuable insights, as highlighted by Banerjee & Mohapatra (2023). Firstly, it demonstrates that fatalities can be minimised and, in some instances, entirely prevented when the system is creatively aligned with the ethos of valuing every life. Second, it underscores the importance of both widespread dissemination of disaster warnings and the need for a responsive system that is both adaptable and efficient down to the grassroots level. Lastly, it highlights the significance of fostering a culture of readiness and skill enhancement among all stakeholders.
To enhance its disaster management capabilities further, Odisha should prioritise several key areas. First, investing in more resilient infrastructure, such as disaster-resistant housing and power systems, can significantly reduce damage and loss during natural disasters. Developing shock-responsive social protection systems is crucial to providing timely assistance to vulnerable populations during crises, ensuring that no one is left behind. Bolstering early warning systems through technological enhancements and expanding the use of real-time information applications like SATARK will improve disaster preparedness and response. Engaging communities more deeply in disaster preparedness is essential – regular training and capacity-building programmes, with a particular focus on increasing women’s participation, will empower communities to be proactive and resilient. Empowering local authorities and PRIs to make swift and effective decisions can boost response times and efficiency at the grassroots level.
Additionally, regularly updating disaster management plans, continuously assessing risks and vulnerabilities and implementing detailed standard operating procedures, will ensure that Odisha remains prepared for various types of disasters.
The pressing question remains: How can other regions adapt and implement these successful strategies to address their unique challenges and vulnerabilities, fostering a global culture of resilience and preparedness?
The author has received a journal award for this study.
Further Reading
- Banerjee, Sumanta and Souryabrata Mohapatra (2023), “Managing Disasters in a Compounding Scenario: A Case of Adaptive Governance in the State of Odisha, India”, International Journal of Climate Change: Impacts and Responses, 16(1): 107-129.
- Parida, Yashobanta, Prarthna Agarwal Goel, Joyita Roy Chowdhury, Prakash Kumar Sahoo and Tapaswini Nayak (2021), “Do economic development and disaster adaptation measures reduce the impact of natural disasters? A district-level analysis, Odisha, India”, Environment, Development and Sustainability, 23: 3487-3519.
- Sahoo, Niranjan and Manas Ranjan Kar (2021), “Evaluating Odisha’s COVID-19 response: from quiet confidence to a slippery road”, Journal of Social and Economic Development, 23: 373-387.
- Sen, Sweta, Narayan Chandra Nayak and William Kumar Mohanty (2023), “Choices between adaptation and coping strategies as responses to cyclonic shocks and their impact on household welfare in villages on the east coast of India”, International Journal of Disaster Risk Reduction, 94.




16 August, 2024 




Comments will be held for moderation. Your contact information will not be made public.