कोविड-19 के कारण सार्वजनिक स्वास्थ्य एवं मानवीय संकटों ने खराब मानसिक स्वास्थ्य के मुद्दे को उजागर किया है। शारीरिक स्वास्थ्य की तरह मानसिक स्वास्थ्य भी काम और जीवन की गुणवत्ता को प्रभावित कर सकता है, लेकिन इस पर शोध कम हुआ है। यह लेख दर्शाता है कि मानसिक स्वास्थ्य को समझने के लिए जनसंख्या-स्तर के लिए मोबाइल फोन स्वास्थ्य सर्वेक्षण एक महत्वपूर्ण माध्यम हो सकता है।
खराब शारीरिक स्वास्थ्य की तरह खराब मानसिक स्वास्थ्य भी बहुत से उत्पादक कार्य और जीवन की गुणवत्ता में कमी ला सकते हैं। मानसिक स्वास्थ्य फिर भी अपने उच्च रोग जोखिम के बावजूद एक अल्प-शोधित विषय है। यह निम्न और मध्यम आय वाले देशों (एलएमआईसी) के लिए विशेष रूप से महत्वपूर्ण है, जहाँ उच्च मृत्यु दर और व्यापक संक्रामक रोग का बोझ सरकारों को शारीरिक स्वास्थ्य के माप और उपचार को प्राथमिकता देने के लिए बाध्य बनाता है।
अगर सामाजिक तौर पर सौभाग्यशाली और हाशिए के समूहों के लोगों (जैसे महिलाएं, मुस्लिम, दलित, और आर्थिक रूप से कमजोर वर्ग) की तुलना करें, तो हाशिये पर वर्ग खराब मानसिक स्वास्थ्य ज़्यादा रिपोर्ट करते हैं (कॉफ़ी एवं गुप्ता 2020)। कोविड-19 के कारण सार्वजनिक स्वास्थ्य और मानवीय संकटों ने खराब मानसिक स्वास्थ्य के मुद्दे को अधिक मुखर रूप से उजागर किया है। यह मानसिक संकट को मापने, समझने और संबोधित करने का एक उपयुक्त समय है।
फोन सर्वेक्षण द्वारा मानसिक स्वास्थ्य के बारे में पूछना
इस श्रृंखला के पहले भाग में हमने सोशल एटिट्यूड्स रिसर्च, इंडिया (सारी) के साथ अपने अनुभव का वर्णन किया, जो एक प्रतिनिधिक मोबाइल फोन सर्वेक्षण है। यह हाशिए के समूहों के प्रति दृष्टिकोण को मापने के लिए बनाया गया है और भारत में सार्वजनिक नीतियों के बारे में एक राय कायम करता है (हाथी एवं अन्य 2020)। वर्ष 2018 में सारी द्वारा बिहार, झारखंड, और महाराष्ट्र में दो मानसिक स्वास्थ्य प्रश्नावली के प्रदर्शन का आकलन, उनकी प्रतिक्रिया दरों के साथ-साथ क्षेत्र, लिंग और शिक्षा जैसी विशेषताओं की असमानताओं का पहचान करके किया गया। यहां, हम भारतीय जनसंख्या के मानसिक स्वास्थ्य मापन पर चर्चा करेंगे (कॉफ़ी एवं अन्य 2020)।
विश्व स्वास्थ्य संगठन (डबल्यूएचओ) ने निम्न और मध्यम आय वाले देशों में परीक्षण के लिए स्व-रिपोर्टिंग प्रश्नावली (एसआरक्यू) विकसित किया है, जो उत्तरदाताओं को मानसिक स्वास्थ्य के शारीरिक लक्षणों पर ध्यान केंद्रित करने वाले 20 प्रश्नों के लिए 'हां' अथवा 'नहीं' में प्रतिक्रिया देने के लिए कहता है। एक अन्य प्रश्नावली केसलर-6 को अमेरिका में विकसित किया गया था, जिसका उपयोग दुनिया-भर में किया जाता है। यह पांच प्रतिक्रिया विकल्पों का उपयोग करके उत्तरदाता की भावनात्मक स्थिति के आधार पर मनोवैज्ञानिक संकट को मापने के लिए डिज़ाइन किया गया था।
प्रायोगिक प्रतिक्रियाओं के आधार पर सारी ने भारतीय संदर्भ में मोबाइल फोन द्वारा परीक्षण के लिए दोनों प्रश्नावली को अनुकूलित किया – एसआरक्यू के प्रश्नों को कम कर छह प्रश्न रखे गए, और केसलर-6 के लिए उत्तर विकल्प पांच से घटाकर तीन (‘हमेशा’, ‘कभी-कभी’, और ‘कभी नहीं’) कर दिए गए। तालिका 1 में एसआरक्यू और केसलर-6 के प्रश्नों के अनुकूलित संस्करण प्रस्तुत किए गए हैं, जो सारी में उपयोग किए जाते हैं।
तालिका 1. अनुकूलित एसआरक्यू और केसलर प्रश्न
|
अनुकूलित एसआरक्यू
|
अनुकूलित केसलर -6
|
प्रश्नावली प्रदर्शन: प्रतिक्रिया दर, गैर-उत्तरदाता, और जनसांख्यिकीय रुझान
उत्तरदाताओं को रैनडम तरीके से एसआरक्यू अथवा केसलर-6 के अनुकूलित संस्करण की प्रश्नावली दी गयी थी। प्रश्नावली का मूल्यांकन प्रतिक्रिया दर, गैर-उत्तरदाताओं की विशेषताओं, एवं लैंगिक, शिक्षा और भौगोलिक आधार पर अपेक्षित आंकड़ों के चलन के आधार पर किया गया।
तालिका 2 से पता चलता है कि तीनों राज्यों में सभी मानसिक स्वास्थ्य सवालों के जवाब देने वाले उत्तरदाताओं का अनुपात केसलर-6 की तुलना में अनुकूलित एसआरक्यू के लिए अधिक था। ऐसा इसलिए हो सकता है क्योंकि एसआरक्यू में शारीरिक लक्षण से जुड़े सवाल आम बातचीत का एक हिस्सा होने की संभावना है, जबकि केसलर-6 में भावनात्मक लक्षणों से जुड़े सवाल सामाजिक रूप से कम स्वीकार्य हैं। साक्षात्कारकर्ताओं ने यह भी बताया कि एसआरक्यू के प्रश्न पूछने में त्वरित और कम निराश करने वाले थे, क्योंकि उन्हें केसलर-6 प्रश्नों की तरह अतिरिक्त स्पष्टीकरण की आवश्यकता नहीं थी। एसआरक्यू के 'हां' या 'नहीं' उत्तर विकल्पों ने भी उनके लिए उत्तर देना आसान बना दिया है।
तालिका 2. उत्तरदाताओं का प्रतिशत जिन्होंने सभी सवालों के जवाब दिए, प्रश्नावली और राज्य के अनुसार
एसआरक्यू की तुलना में, केसलर-6 में खास वर्गों से जवाब मिलना कम था। पुरुषों और वयस्कों की तुलना में महिलाओं और वृद्ध वयस्कों (45-65 वर्ष की आयु) की प्रतिक्रिया नहीं होने की अधिक संभावना है। इसी तरह कम पढ़े-लिखे (स्कूल की पढ़ाई के आठ साल से कम) उत्तरदाता और दो से कम संपत्ति वाले घरों में रहने वालों के उत्तर न देने की संभावना अधिक होती है।
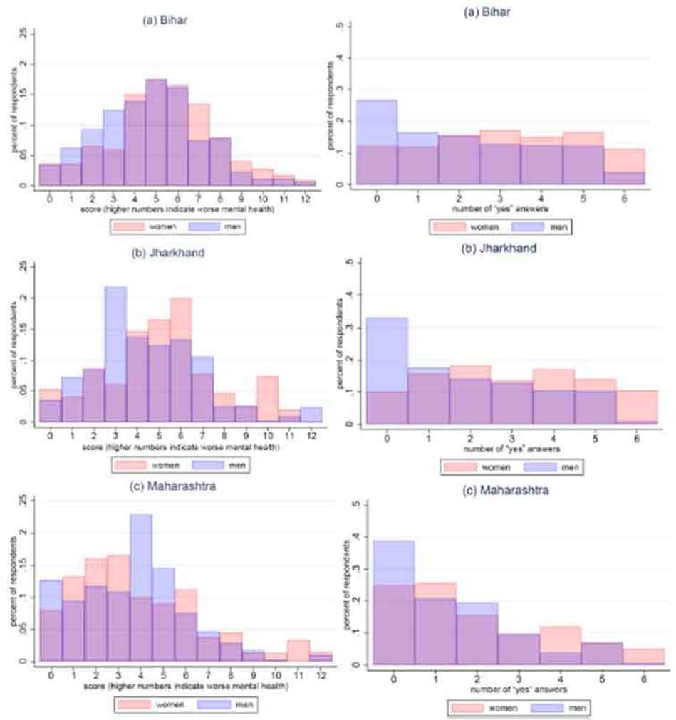
एसआरक्यू और केसलर-6 दोनों मानसिक स्वास्थ्य में क्षेत्रीय विषमताओं की पहचान करने में सक्षम थे - मानव विकास और सामुदायिक अध्ययन में अंतर के अनुरूप - बिहार और झारखंड में लोगों के बीच मानसिक स्वास्थ्य महाराष्ट्र की तुलना में निम्नतर था (गुरुराज एवं अन्य 2016)। हालांकि केसलर-6 की तुलना में एसआरक्यू शिक्षा के कारण असमानताओं की पहचान ज्यादा कर पाया। लैंगिक असमानताओं के संदर्भ में एसआरक्यू पुरुषों की तुलना में महिलाओं के बदतर मानसिक स्वास्थ्य को अधिक स्पष्ट रूप से वर्गीकृत करता है। यह आकृति 1 से स्पष्ट है, जिसमें एक उच्च स्कोर का मतलब खराब मानसिक स्वास्थ्य है। यह बिहार में केसलर-6 के बारे में भी सच है लेकिन झारखंड और महाराष्ट्र के लिए यह अधिक स्पष्ट नहीं है।
आकृति 1. प्रश्नावली और लिंग के आधार पर मानसिक स्वास्थ्य स्कोर; एसआरक्यू (बाएं) और केसलर-6 (दाएं)
एसआरक्यू का प्रयोग: लैंगिक भेदभाव और मानसिक स्वास्थ्य
एसआरक्यू की उच्च प्रतिक्रिया दरों के कारण औरक्षेत्रीयता और लैंगिक आधार पर अच्छी तरह से अध्ययन की गई असमानताओं की पहचान के कारण (दास एवं अन्य 2012, पटेल एवं अन्य 2006), हमने इसका उपयोग कर लैंगिक भेदभाव और मानसिक स्वास्थ्य के बीच संबंधों का विश्लेषण करने का निर्णय लिया। एक दूसरे अध्ययन में हमने पूछा: क्या ऐसी महिलाएं जो घरों में सबसे अंत में भोजन करती हैं, उनकी तुलना में घर में पहले भोजन करने वाली महिलाओं का मानसिक स्वस्थ्य बेहतर होता है (हाथी एवं अन्य 2020)?
आकृति 2. सभी स्तरों की परिसंपत्ति धन (पैनल ए) और शिक्षा (पैनल बी) के आधार पर महिलाओं का मानसिक स्वास्थ्य
आकृति में प्रयुक्त अंग्रेज़ी शब्दों के अर्थ:
Asset - संपत्ति
Education - शिक्षा
Women do not eat after men - महलाएँ पुरुषों के बाद नहीं खाती हैं
Women eat after men - महलाएँ पुरुषों के बाद खाती हैं
आकृति 2 से पता चलता है कि जो महिलाएं आखिर में भोजन करती हैं उनका मानसिक स्वास्थ्य ज्यादा खराब होता है, ऐसा शिक्षा और संपत्ति के अंतर को समायोजित करने बावजूद भी होता है। अनुभवजन्य विश्लेषण उत्तरदाता के उम्र, जाति, धर्म और राज्य से भी प्रभावित होता है, और यह भी पाता है कि अंत में खाना इस आबादी में मानसिक स्वास्थ्य को सही से पूर्वानुमान करता है।
यह अध्ययन इस बात पर विचार करता है कि जो महिलाएं आखिर में भोजन करती हैं उनका परिवार के साथ खाने वालों की तुलना में मानसिक स्वास्थ्य क्यों खराब होता है। ऐसा इसलिए हो सकता है कि जो महिलाएं अंतिम भोजन करती हैं, वे कम पोषित होती हैं और जो परिवार के साथ भोजन करती हैं, उनका पोषण ठीक होता है। इसी कारण उनका शारीरिक स्वस्थ्य भी बेहतर होता है। 2012 के भारत मानव विकास सर्वेक्षण (आईएचडीएस) में लगभग एक-चौथाई महिलाओं ने रिपोर्ट किए जाने पर यह पाया गया कि वे सबसे अंतिम में खाती हैं और जो महिलाएं अंतिम में भोजन नहीं करती हैं, वे पहले भोजन करने वाली महिलाओं की तुलना में कम वजन की होती हैं। अध्ययनों से पता चला है कि खराब मानसिक स्वास्थ्य अक्सर खराब शारीरिक स्वास्थ्य से संबंधित है (स्कॉट एवं अन्य 2007)। इसलिए महिलाओं का कुपोषण इस अध्ययन का हिस्सा है।
हम यह भी पता लगाते हैं कि क्या आखिर में खाने से महिलाओं के स्वायत्तता और मानसिक स्वास्थ्य के बीच कोई संबंध निर्धारित किया जा सकता है। निम्न स्वायत्तता को खराब मानसिक स्वास्थ्य के कारण के रूप में दिखाया गया है। अपने जीवन की परिस्थितियों पर नियंत्रण की कमी के कारण मानसिक स्वास्थ्य प्रभावित होता है (पटेल एवं अन्य 2006)। आईएचडीस के आंकड़ों के अनुसार हम पाते हैं कि जिन स्थितियों में एक महिला की निर्णय लेने की शक्ति होती है, वह उनके आखिर में खाने से नकारात्मक रूप से संबद्ध होती है। यह सह-संबंध उम्र, शिक्षा, संपत्ति धन, धर्म-जाति श्रेणी और निवास की स्थिति को नियंत्रित करने के बाद भी नहीं बदलता है। दोनों के बीच मजबूत सह-संबंध यह बताता है कि स्वायत्तता का यह उपाय वास्तव में आखिर में खाने और खराब मानसिक स्वास्थ्य के बीच के संबंध में मध्यस्थता कर सकता है। हालाँकि इस संबंध में अब तक कोई भी डेटासेट - आखिर में खाना, निर्णय लेना और मानसिक स्वास्थ्य, इन तीन चारों को प्रत्यक्ष रूप से परीक्षित नहीं करता है।
निष्कर्ष
दो अध्ययनों के निष्कर्ष बताते हैं कि मोबाइल फोन सर्वेक्षण एक उपयोगी माध्यम है जिसके द्वारा मानसिक स्वास्थ्य मापन को जनसंख्या-स्तर के स्वास्थ्य सर्वेक्षण किया जा सकता है।
‘भारत में मानसिक स्वास्थ्य’ से संबंधित ये अध्ययन - अन्य लोगों के साथ - 10 जुलाई 2020 को आयोजित एक वेबिनार में साझा किए गए, जिसका शीर्षक ‘बिहार और भारत में मानसिक स्वास्थ्य: के प्रभावी मापक उपकरणों का विकास’ था। यह राइस और आईजीसी इंडिया द्वारा संयुक्त रूप से आयोजित किया गया था।
यह विश्लेषण तीन-भाग श्रृंखला की दूसरी कड़ी है। अगले भाग में लेखक भारत में मानसिक स्वास्थ्य असमानताओं के आंकड़ों के आधार पर अपने शोध का निष्कर्ष प्रस्तुत करते हैं।
नोट:
- जिन सम्पत्तियों के बारे में सारी सर्वेक्षण में पूछा गया है वे मिक्सर, स्कूटर, प्रशंसक, रेफ्रिजरेटर और प्रेशर कुकर हैं।
लेखक परिचय: डाएन कॉफी अमेरिका के ऑस्टिन स्थित टेक्सास विश्वविद्यालय में समाजशास्त्र और जनसंख्या अनुसंधान की असिस्टेंट प्रोफेसर और भारतीय सांख्यिकी संस्थान (आइएसआइ), दिल्ली में विजिटिंग रिसर्चर हैं। अमित थोराट जवाहरलाल नेहरू विश्वविद्यालय, दिल्ली के सेंटर फॉर रीजनल डेव्लपमेंट में असिस्टेंट प्रोफेसर हैं। पायल हाथी यूनिवरसिटि ऑफ कैलिफोर्निया बर्कली में जनसांख्यिकी में पीएचडी कर रही हैं। नज़र खालिद यूनिवरसिटि ऑफ पेंसिलवेनिया में जनसांख्यिकी एवं जनसंख्या अध्ययन में पीएचडी कर रहे हैं, साथ हीं वे रिसर्च इंस्टीट्यूट फॉर कंपैशनेट इक्नोमिक्स (राइस) में रिसर्च फैलो हैं।
क्या आपको हमारे पोस्ट पसंद आते हैं? नए पोस्टों की सूचना तुरंत प्राप्त करने के लिए हमारे टेलीग्राम (@I4I_Hindi) चैनल से जुड़ें। इसके अलावा हमारे मासिक समाचार पत्र की सदस्यता प्राप्त करने के लिए दायीं ओर दिए गए फॉर्म को भरें।




16 दिसंबर, 2020 







Comments will be held for moderation. Your contact information will not be made public.