आइडियास फॉर इंडिया के अंतर्राष्ट्रीय महिला दिवस 2023 के महीने भर चलने वाले अभियान के इस आलेख में राजश्री जयरामन का यह मानना है कि भारत में महिलाओं के ससुराल वालों के साथ रहने की उच्च दरों और उनके बीच श्रम बल भागीदारी की कम दरों के बीच नकारात्मक संबंध हैं। वे इन दोनों के बीच एक अनौपचारिक संबंध स्थापित करती हैं और तीन संभावित चैनलों की पड़ताल करती हैं जिसके माध्यम से सह-निवास महिलाओं की रोजगार को प्रभावित कर सकता है: जैसे साझा घरेलू संसाधनों का उपयोग करने से महिलाओं की आय पर नकरात्मन प्रभाव; घरेलू जिम्मेदारियों में वृद्धि; और रूढ़िवादी लैंगिक मानदंड, जो महिलाओं की गतिविधियों को प्रतिबंधित करते हैं।
भारत में महिलाओं की श्रम-बल में भागीदारी की दर दुनिया में सबसे कम दरों में से एक है। वे असामान्य रूप से अधिकांश संख्या में अपने सास-ससुर के साथ रहती भी हैं। आकृति-1 से पता चलता है कि इन दो तथ्यों का जीवन-चक्र के साथ नकारात्मक सह-संबंध है: भारतीय मानव विकास सर्वेक्षण (आईएचडीएस, 2005 और 2011) और उपभोक्ता पिरामिड घरेलू सर्वेक्षण (सीपीएचएस, 2016-2019) – दोनों में, विवाहित महिलाओं के बारे में रोजगार में एक उल्टे U-आकार के पैटर्न का अनुसरण होता है। यह महिला की आयु जब तक चालीस वर्ष की होती है, तब तक बढ़ता जाता है और उसके बाद इसमे गिरावट आती है। भारत में 70% से अधिक विवाहित महिलाएं शादी के बाद सीधे अपने सास-ससुर - दोनों के या किसी एक के साथ रहना शुरू करती हैं। जैसे-जैसे उम्र के साथ रोजगार बढ़ता है, उनका अपने सास-ससुर के साथ सह-निवास कम हो जाता है क्योंकि पति-पत्नी या तो दूसरे स्थान पर रहने चले जाते हैं या सास-ससुर का निधन हो जाता है।
आकृति 1. विवाहित महिलाओं का नौकरी करना और सास-ससुर के साथ सह-निवास(पीआईएल)
सह-निवास महिलाओं के रोजगार को कैसे प्रभावित करता है?
आकृति-1 में इंगित नकारात्मक सह-संबंध के कारक होने के तीन कारण हो सकते हैं। सबसे पहला, सह-निवास से संभावित घरेलू आय और संपत्ति के साझा किये जाने की स्थिति बनती है और यह महिलाओं की श्रम आपूर्ति पर नकारात्मक (आय) प्रभाव डाल सकता है। दूसरा, सह-निवास से महिलाओं की अतिरिक्त घरेलू ज़िम्मेदारियाँ बढ़ सकती हैं, जिसमें खाना बनाना, सफाई करना और बुजुर्गों की देखभाल करना शामिल है, जो श्रम-बल में उनकी भागीदारी को कम करता है। तीसरा, परिवार में बड़ों को निर्णय लेने का अधिकार देने वाले संतानोचित कर्तव्य-परायणता के मानदंड, पुरानी पीढ़ियों में अधिक रूढ़िवादी लिंग-आधारित मानदंडों के साथ महिलाओं के रोजगार किये जाने पर अतिरिक्त सामाजिक बाधाओं को लाद सकते हैं।
इस संदर्भ में, साथ रहने वाले सास-ससुर का लिंग मायने रखता है। चूँकि पारंपरिक भारतीय परिवारों में संपत्ति का स्वामित्व और निर्णय लेने का अधिकार पुरुषों को होता है, ये तीन चैनल यह इंगित करते हैं कि साथ रहने वाले ससुर विवाहित महिलाओं के रोजगार के लिए साथ रहने वाली सास की तुलना में अधिक बाधा के रूप में सामने आ सकते हैं। यह संभावना प्रचलित साहित्य में नजर आने वाली अत्याचारी सास के कार्टून से मेल नहीं खाती है।
शोध प्रश्न और डिजाइन
हम एक हालिया शोध (जयरामन एवं खान 2023) में सवाल करते हैं कि क्या ससुर और सास के साथ रहने से भारत में विवाहित महिलाओं के रोजगार में गिरावट आती है? इस प्रश्न का उत्तर देने की चुनौती यह है कि ससुराल वालों के साथ रहना एक विकल्प है, और इस विकल्प के चुनाव के अनदेखे कारणों को एक महिला के रोजगार निर्णयों के साथ सह-संबद्ध किया जा सकता है। उदाहरण के लिए, यदि पति को कोई बेहतर नौकरी मिलती है तो वह जोड़ा माता-पिता के घर से निकलकर एकल परिवार के रूप में रहने में सक्षम हो सकता है और पत्नी नए एकल परिवार में घर पर रहने में सक्षम हो सकती है। वैकल्पिक तौर पर बच्चे का जन्म एक विवाहित जोड़े को ससुराल वालों के साथ रहने के लिए प्रेरित कर सकता है जो बच्चे की देखभाल के लिए अतिरिक्त सहायता और संसाधन उपलब्ध करा सकते हैं। सामान्य रूप से, सह-निवास और रोजगार के बीच के नकारात्मक (या सकारात्मक) संबंध का पता लगने से हमें दोनों के बीच के कारक संबंध के बारे में कुछ भी जानकारी नहीं मिलती है।
हम पूरी तरह से अलग दो दृष्टिकोणों का उपयोग करके इस अंतर्जात समस्या का हल ढूंढते हैं। सबसे पहला, हम ससुर और सास के निधन को सह-निवास के एक साधन1 के रूप में देखते हैं। यह साधन स्पष्ट रूप से प्रासंगिक है: यह सह-निवास स्थिति को प्रभावित करता है क्योंकि कोई मृत सास-ससुर के साथ थोड़े ही रह सकता है। तथापि, इस बारे में प्रश्न कि क्या यह बहिर्जात ठहराव है क्योंकि सास-ससुर के निधन का रोजगार पर सीधा प्रभाव पड़ सकता है। हम अपने दूसरे तकनीक डिफरेंस-इन-डिफरेंस2 में, इस संभावना की सीधे तौर पर जाँच करते हैं कि सास-ससुर के निधन के बाद विवाहित महिलाओं का रोजगार कैसे बदलता है। हम दो अलग-अलग राष्ट्रीय प्रतिनिधि पारिवारिक आंकड़ा सेट – आईएचडीएस और सीपीएचएस से आंकड़ा हेतु अपनी पहली रणनीति अपनाते हैं और सीपीएचएस के उच्च आवृत्ति आँकड़े का उपयोग करते हैं, जिसे हमारे दूसरे दृष्टिकोण को निष्पादित करने के लिए प्रत्येक चतुष्कोण (चार महीने के अंतराल) पर प्रशासित किया जाता है। कोई भी रणनीति निर्दोष नहीं है, लेकिन एक साथ और विभिन्न आंकड़ा सेट में ये हमारे शोध प्रश्न का बहुत ही सुसंगत उत्तर प्रदान करती हैं।
जाँच के परिणाम
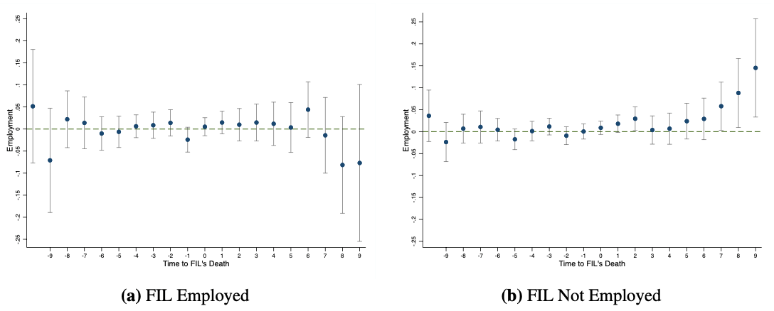
हमारी मुख्य खोज यह है कि घर में ससुर के साथ रहने वाली विवाहित महिलाओं का रोजगार में शामिल होना कम हो जाता है, लेकिन सास के साथ रहने वाली महिलाओं का कम नहीं होता। समय के साथ साधन चर के निश्चित प्रभाव अनुमान किसी महिला के सह-निवास में भिन्नता लाते हैं और इंगित करते हैं कि ससुर के साथ सह-निवास के परिणामस्वरूप महिलाओं का रोजगार में शामिल होना 11% (आईएचडीएस में) से 13% (सीपीएचएस में) कम हो जाता है। इसके विपरीत, जैसा कि आकृति 2 में दर्शाया गया है, किसी भी आंकड़ा सेट में सास के साथ सह-निवास का विवाहित महिलाओं के रोजगार पर कोई महत्वपूर्ण प्रभाव नहीं पड़ता है। जबकि सीपीएचएस डिफरेंस-इन-डिफरेंस अनुमान दर्शाता है कि ससुर के निधन के बाद विवाहित महिलाओं का रोजगार में शामिल होना बढ़ता है, लेकिन सास के निधन के बाद इस स्थिति में कोई महत्वपूर्ण बदलाव नहीं आता है।
आकृति 2. क्वाड्रिमेस्टर द्वारा, ससुर (ससुर, बायाँ पैनल) या सास (सास, दायाँ पैनल) के निधन के बाद विवाहित महिलाओं के रोज़गार की स्थिति
ससुर का निधन सास का निधन
आकृति टिप्पणी: y-अक्ष बिंदु अनुमानों के लिए 95% विश्वास अंतराल के साथ, सास-ससुर के निधन की घटना से पूर्व के वर्ष की तुलना में रोजगार दर में परिवर्तन को दर्शाता है।
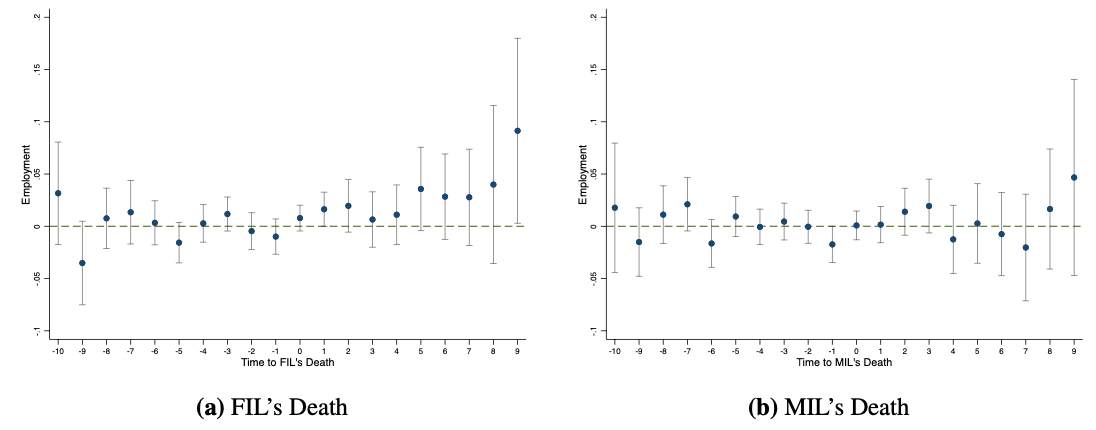
हम उन तीन चैनलों की भी जांच करते हैं जो इस बात का कारण हो सकते हैं कि घर में ससुर के साथ रहने वाली विवाहित महिलाओं का रोजगार में शामिल होना कम क्यों हो जाता है। शुरू में हमें इस संभावना का प्रमाण नहीं मिलता है कि ससुराल वालों की घरेलू आय या संपत्तियों को साझा करने का अवसर उनके साथ रहने वाली बहू की श्रम-बल में भागीदारी पर नकारात्मक आय प्रभाव डालता है। उदाहरण के लिए - यदि ऐसा कोई तंत्र कारगर रहा होता, तो इस बात की उम्मीद की जा सकती थी कि नौकरी करने वाले आय-अर्जक ससुर का निधन होने की स्थिति महिला को रोजगार में शामिल होने के लिए मजबूर कर सकती है जबकि नौकरी नहीं करने वाले ससुर का निधन नहीं। आकृति 3 इसके विपरीत सच को दर्शाता है: आकृति 2 के बाएं पैनल में दिखाई गई सकारात्मक समग्र रोजगार की स्थिति उन ससुरों के निधन से प्रेरित है जो रोजगार में शामिल नहीं थे (आकृति 3 का दायां पैनल)।
आकृति 3. क्वाड्रिमेस्टर द्वारा, रोजगार में शामिल (बाएं पैनल) और नौकरी नहीं करने वाले ससुर (ससुर, दायां पैनल) के निधन के बाद विवाहित महिलाओं के रोज़गार की स्थिति
दूसरा, सास-ससुर के साथ एक घर में रहना परिवार में महिला की घरेलू जिम्मेदारियों को बढ़ा सकता है, और श्रम बाजार में काम करने की उसकी क्षमता से समझौता कर सकता है। हम वर्ष 2019 के इंडियन टाइम यूज सर्वे के आँकड़े का उपयोग करते हुए पाते हैं कि ससुर के साथ रहने पर रोजगार से हटकर घरेलू गतिविधियों में समय के उपयोग में कुछ बदलाव आया है। सास के साथ रहने (सह-निवास) पर भी घरेलू गतिविधियों के लिए समय के उपयोग में बदलाव होता है, जबकि रोजगार हेतु बिताये गए समय में कोई समान परिवर्तन नहीं होता है। तथापि दोनों में से किसी एक स्थिति में समय के उपयोग में बदलाव मामूली-सा है और यह बढ़ी हुई घरेलू जिम्मेदारियों के संदर्भ में परखने हेतु बहुत छोटा लगता है।
तीसरा, संतानोचित कर्तव्य-परायणता के मानदंडों से प्रवर्धित रूढ़िवादी लैंगिक मानदंड महिलाओं की गतिविधियों को बाधित कर सकते हैं। हम इस चैनल के लिए समर्थन पाते हैं: विवाहित महिलाएं जब अपने ससुराल में सह-निवास करती हैं, तो महत्वपूर्ण निर्णय लेने का अधिकार उनके पति के बजाय ससुर को होता है; और रसोई में अपनी बहू या बेटे के बजाय सह-निवास करने वाली सास का दबदबा होता है। हम यह भी पाते हैं कि जो महिलाएं सास-ससुर के साथ रहती हैं, उनकी घर के बाहर गतिशीलता काफी कम होती है, और कम वित्तीय स्वायत्तता होती है, जिससे दोनों की श्रम-बल भागीदारी से समझौता होने की संभावना होती है।
नीति निहितार्थ
किसी स्तर पर यह आश्चर्य की बात नहीं होनी चाहिए कि पितृसत्तात्मक समाज में महिलाओं के रोजगार के लिए ससुर का महत्व होना चाहिए। फिर भी, महिलाओं के रोजगार पर एक संभावित बाधा के रूप में उनकी भूमिका को प्रचलित आख्यान में, और साथ ही शोध एवं नीति डिजाइन – दोनों में काफी हद तक नजरअंदाज किया गया है। चूंकि प्रतिबंधात्मक लिंग-आधारित मानदंड परिवार का आंतरिक मामला है और उन्हें एक तरह से थोपा जाता है, यह भारत में संतानोचित (पुत्र-प्रेम वाले) परिवारों की प्रधानता को देखते हुए एक उल्लेखनीय निरीक्षण जैसा लगता है। हमारे परिणाम दर्शाते हैं कि भारतीय संदर्भ में पारिवारिक निर्णय लेने और सामाजिक मानदंडों को प्रभावित करने के उद्देश्य से नीति तैयार करते समय ससुरों के बारे में विचार किया जाना चाहिए, जिससे शायद भारत में महिलाओं के रोजगार में वृद्धि हो सकती है ।
टिप्पणियाँ:
- अंतर्जात संबंधी चिंताओं को दूर करने के लिए अनुभवजन्य विश्लेषण में साधन चर का उपयोग किया जाता है। यह साधन व्याख्यात्मक कारक के साथ सहसंबद्ध है, लेकिन हित-संबंधी परिणाम को सीधे प्रभावित नहीं करता है,। और इस प्रकार से व्याख्यात्मक कारक (सास-ससुर के साथ सह-निवास) और हित-संबंधी परिणाम (महिलाओं का रोजगार)के बीच के वास्तविक कारक संबंध को मापने के लिए इस्तेमाल किया जा सकता है।
- डिफरेंस-इन-डिफरेंस एक ऐसी तकनीक है, जिसका उपयोग समान समूहों में समय के साथ परिणामों के विकास की तुलना करने के लिए किया जाता है, जहां इस मामले में, एक समूह ने सास-ससुर के निधन की घटना का अनुभव किया और दूसरे ने नहीं किया।
लेखक परिचय: राजश्री जयरामन यूरोपियन स्कूल ऑफ मैनेजमेंट एंड टेक्नोलॉजी में अर्थशास्त्र की असोसिएट प्रोफेसर हैं।




17 मार्च, 2023 




Comments will be held for moderation. Your contact information will not be made public.